一维量子引力—解释4维时空中的自由粒子,揭示生命短暂的本质( 三 )
文章插图
函数f通过函数?从N回调到M由以下复合函数定义:
文章插图
- 式18:函数f通过函数?的回调。
引入标量场
现在让我们用(M, g)表示上面两个一维流形中的一个,即区间I,并让它是场“存在”的时空。我们还引入了另一个N维流形(N, G)。后者称为目标空间,是待研究对象的空间,即标量场。
现在考虑这两个流形之间的映射:

文章插图
我们引入N上的坐标,选择一个开放的局部表面U ? N,具有n个局部坐标:

文章插图
其中,对于每个t∈M, u中有一个x(t)。上面的n个对象x都是一个标量场。下图使这些定义更加清晰:

文章插图
- 图9:度量g的流形M(两个可能的一维流形之一)到目标空间N(N维流形)的映射。对于U中的每一点,我们关联一个标量场x。
广义相对论作用现在我们要写下我们理论的广义相对论作用。一般来说,广义相对论的作用是:

文章插图
- 式19:包括物质场的广义相对论作用。
- 根号内的g是度规张量的行列式:

文章插图
- R是里奇曲率标量,它描述了在每个点附近时空的几何形状(见下图)。

文章插图
- 图10:图显示了三个面。第一种是具有负局部曲率(R

文章插图
- 括号内的第三项是物质场的拉格朗日密度(稍后将更详细地讨论)。

文章插图
- 式20:一维流形的一般相对论作用。

文章插图
尽管如此,我们仍然可以建立一个量子引力理论,其中度规与物质场耦合。度规g的存在表明标量场与引力相互作用。在目标空间中选择洛伦兹度规:

文章插图
- 式21:四维闵可夫斯基度规张量。

文章插图
- 式22:作用S与上面给出的闵可夫斯基度规G。

文章插图
- 式23

文章插图
引号是提醒我们,xs是标量场,而不是位置坐标:

文章插图
- 式24:用共轭动量表示的“爱因斯坦场方程”。

文章插图
- 式25:共轭动量由微分算子代替。

文章插图
- 式26:经过正则量子化过程的量子波函数的微分算符。

文章插图
度规张量变换如下:

文章插图
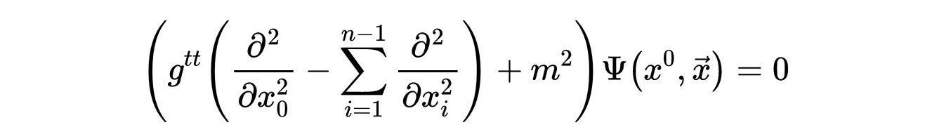
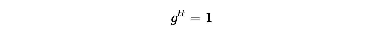
现在,我们可以任意缩放度规。选择:
推荐阅读
- 引力 太阳系边缘真的存在第九大行星,而且它是一颗胡柚般大的黑洞吗
- 量子 相隔十米的两个量子存储器间首次实现纠缠
- 量子比特 最新从实验层面证明:量子计算,确实比经典计算更具优势!
- 引力 想下!如果地球撞上了另一个星球,那会如何?
- 量子通信 量子科技是当今最先进的技术,那么它究竟有多强呢
- 恒星 黑洞叫引力坍缩彻底的恒星十亿光年外看地球会看到时光倒流
- 量子纠缠 光速公认是宇宙最快速度别被骗了,这3个速度不亚于光速
- d1 波函数什么都知道
- 革命性 中科院潘建伟团队“量子优越性”,比谷歌快100万倍,意味着什么
- 万有引力 既然地球是圆的,为何海水不会流入太空之中答案意想不到
