一维量子引力—解释4维时空中的自由粒子,揭示生命短暂的本质( 二 )

文章插图
- 式8:生成泛函或配分函数,量子场论中的一个关键对象。
关于量化方案在本文中,我将采用量化的路径积分法(而不是标准积分法)。正如我们刚才看到的,该方法基于相对不变的拉格朗日量,使得路径积分也具有明显的不变性。此外,积分内的对象是经典量。
我们注意到,与正则量子化相比,该方法涉及到视角的转变。系统的哈密顿动力学由式6定义。因此拉格朗日量成为量子场论“最基本的规范”。
让我们回到实标量场论的式4。欧拉-拉格朗日运动方程应用最速(陡)下降法近似于作用:

文章插图
- 式9:求作用的极值。

文章插图
- 图6:显示最陡下降方法的动画。

文章插图
- 式10:质量标量场服从的克莱恩-戈登方程。

文章插图
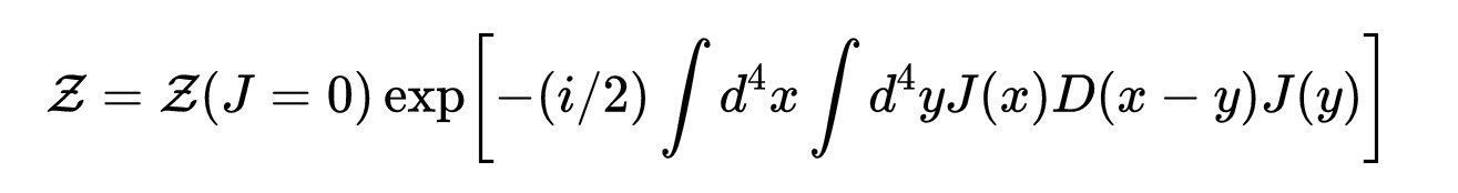
- 式11:式8中的生成泛函或配分函数,明确地写出拉格朗日密度。
这个积分只是高斯积分的一个复杂版本:

文章插图
可以用高斯积分的标准程序来计算。我们得到:

文章插图
- 式12:对?进行积分后的生成函数表达式。

文章插图
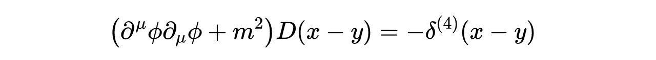
- 式13:自由传播子所服从的方程。

文章插图
- 式14:自由传播子写成动量空间传播子的傅里叶变换。

文章插图
- 式15:n维洛伦兹流形。
如果我们用欧几里德符号(+,+,…,+)来代替,在质量项变为正数之前,会失去ε。传播函数为:

文章插图
- 式16:自由传播子的欧氏版本,作为欧氏动量空间传播子的傅里叶变换。
一维量子引力我们现在的目标是建立一个一维的量子场论,在那里场与引力相互作用。要构建一维量子场论,我们需要两个基本要素:
- 理论“存在”的时空(我们的宇宙)
- 我们要研究的对象,也就是这里的场。它们可以是几种类型,但这里我只考虑标量场。
在一维上,只有两个可能的紧流形(封闭和有界流形),即:

文章插图

文章插图
- 图7:一维中仅有的两个可能的紧流形。

文章插图
- 式17:一维流形的1x1度规(下标)和1x1逆度规(上标)。
回调
微分几何中一个有用的概念是回调。考虑下面图中所示的两个流形M和N、映射?、f及其组成。

文章插图
- 图8:回调
推荐阅读
- 引力 太阳系边缘真的存在第九大行星,而且它是一颗胡柚般大的黑洞吗
- 量子 相隔十米的两个量子存储器间首次实现纠缠
- 量子比特 最新从实验层面证明:量子计算,确实比经典计算更具优势!
- 引力 想下!如果地球撞上了另一个星球,那会如何?
- 量子通信 量子科技是当今最先进的技术,那么它究竟有多强呢
- 恒星 黑洞叫引力坍缩彻底的恒星十亿光年外看地球会看到时光倒流
- 量子纠缠 光速公认是宇宙最快速度别被骗了,这3个速度不亚于光速
- d1 波函数什么都知道
- 革命性 中科院潘建伟团队“量子优越性”,比谷歌快100万倍,意味着什么
- 万有引力 既然地球是圆的,为何海水不会流入太空之中答案意想不到
