通过数学揭秘宇宙的起源,宇宙大爆炸的数学证明

文章插图
宇宙学是研究整个宇宙的动力学行为的学科。现代宇宙学目前被大爆炸理论所主导,该理论试图将天文学和基本粒子物理放在一个框架中。λ冷暗物质模型就是一个例子,我们将在下面更详细地讨论它。
顾名思义,这个模型包括许多类型的物质和能量,例如:
- 暗能量(这里用宇宙常数λ表示)
- 假设的冷暗物质(缩写为CDM)
- 普通物质。

文章插图
- 图1:在左边,你可以看到一个星系团,它是遍布整个宇宙网的节点。右边是可观测到的对数尺度宇宙的图解。

文章插图
- 图2:爱因斯坦的论文《广义相对论的宇宙学思考》,由此诞生了现代宇宙学

文章插图
- 图3:估算的宇宙总能量分为物质、暗物质和暗能量
- 均匀性是指每一点都具有相同的性质
- 各向同性是指各个方向的一致性。

文章插图
- 图4:没有各向同性的均匀性的例子,反之亦然
现在考虑一个n维欧几里得空间。

文章插图
- 图5:欧几里得空间

文章插图
- 图6:根据舒尔定理,如果在P的邻域内所有点都是各向同性的,且空间的维数等于或大于3,则曲率K在整个邻域内是恒定的。

文章插图
- 方程1:曲率处处为K常数的宇宙的全局各向同性模型的黎曼张量。

文章插图
- 图7:一个非零的黎曼曲率张量是矢量(平行)移动回起点后的结果,它变成了一个不同的矢量

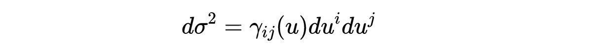
文章插图
- 方程2:函数R(t)是比例因子,dσ2是线元素的(角)空间部分。

文章插图
- 方程3:宇宙空间切片的度规。
插曲很明显,时空点和时空坐标是两个完全不同的概念。正如我在之前的一篇文章中提到的,坐标仅仅是标签,他们的选择不会改变物理定律。当a(t)发生变化时,物理点的位置也发生变化,但它们在移动坐标系中的距离保持不变。
推荐阅读
- 视点·观察 美团员工被曝通过钓鱼邮件获取拼多多薪资信息 检方:侦查阶段,不便透露
- 宇宙 一条让人们非常绝望的物理定律,通过它我们似乎看到了宇宙的未来
- 证券日报 高利润医美业揭秘:上游“躺赚” 中下游“吃土”
- 西藏 自驾通过西藏无人区时,为什么要搭帐篷睡,而不是在汽车内睡觉?
- 数字货币 买了虚拟币却卖不出去 记者揭秘“百倍币”骗局
- 建水 西沙东岛为何会有400多头野牛?是如何过去的?下面带大家揭秘
- IT 两款中国大疆无人机通过美国防部安全审查 获准使用
- 大萧条 美国大萧条到底是什么回事?揭秘12个被我们完全误解的真相
- 圈内人 明星伙食费一天650元不够吃?圈内人揭秘:一线明星一顿餐标过千
- the 美国马里兰州和蒙大拿州通过法律限制使用DNA搜索进行刑事调查
