编码 为什么时间被编码在空间几何中?通过理论计算证明( 三 )
- 方程18:作用积分。

文章插图
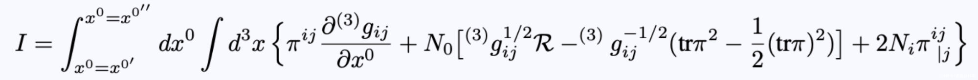
- 方程19:用ADM形式表示的作用积分。

文章插图
- 方程20:ADM场动量π。
步骤4
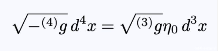
现在假设这三个几何图形几乎是相同的。然后,我们有:

文章插图
- 方程21:三个几何形状几乎相同时的体积元。

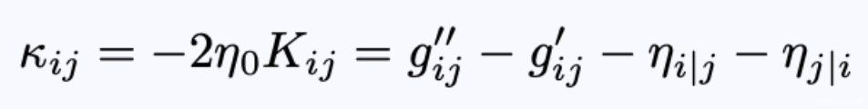
文章插图
- 方程22:三度规在垂直于曲面方向上的非归一化时间导数。

文章插图
- 方程23:三个几何图形几乎相同时的作用。
现在求关于η?的极值,得到:

文章插图
- 方程24:两个三面之间的固有时分离。
步骤6
注意,η依赖于k, k依赖于位移向量η?(x1, x2, x3),为了得到η?(x1, x2, x3),把方程22带入到方程23,结果是:

文章插图
- 方程25:只改变位移矢量分量的运动。
步骤7
下一步是求解步骤6中η?的方程,并将其代入方程22和方程24。因此,根据两个三面的固有几何,找到时间间隔η?。
步骤8
【 编码|为什么时间被编码在空间几何中?通过理论计算证明】外部曲率K由式22得到。可以证明,使用爱因斯坦场方程与初始的三度规和外在曲率K一起确定表面嵌入的时空的度规。因此,BSW展示了如何找到两个表面之间的时间间隔,以及它们在给定的两个三维几何图形中的时空位置。
推荐阅读
- 初入职场的我们 《初入职场的我们》郑茹心为什么会离开?
- 观众们 《中餐厅5》录制时间曝光,新阵容备受关注,龚俊周也有望合体
- 米兰时装周 王俊凯为什么能被受邀参加米兰时装周的呢?
- 飞行嘉宾 黄渤为什么中途退出《哈哈哈哈哈》?原因很现实
- 信用卡 为什么银行的人,追着你办信用卡?办卡送礼物,到底有什么秘密?
- 生猪价格 生猪价格正在下跌和上涨。为什么上升这么难?终于找到原因了
- 太空港 哈勃望远镜“继承者”又鸽了!发射时间或延期至年底
- 张哲瀚 被问为什么和龚俊总黏在一起张哲瀚的回答,堪称教科书
- 电子商务 亚马逊调整“休息时间任务”政策 批评者此前称该政策限制上厕所时间
- 警告 霍金生前为什么警告人类,要抓紧离开居住的地球他发现什么
