编码 为什么时间被编码在空间几何中?通过理论计算证明( 二 )

文章插图
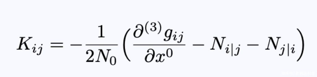
- 方程6:超曲面的外在曲率。

文章插图
- 图5:外部曲率。

文章插图
- 方程7:重命名本征曲率。

文章插图
- 方程8:用外在曲率、它的轨迹和三个曲率表示的里奇标量。

文章插图
- 方程9:引力拉格朗日密度以三曲率、外在曲率及其轨迹表示。

文章插图
- 方程10。

文章插图
- 方程11:哈密顿函数H的条件。

文章插图
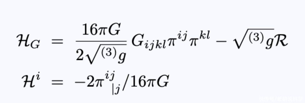
- 方程12:使用ADM变量的哈密顿量。

文章插图
- 方程13:方程12中第二个等式后对象的定义。

文章插图
- 被称为惠勒-德维特度规。

文章插图
- 方程14:描述三度量演化的哈密顿动力学系统的约束方程。
狄拉克宣称:
这个结果让我开始怀疑四维物理条件到底有多基本。几十年前,人们似乎很肯定必须把整个物理学用四维形式表达出来。但现在看来,四维对称似乎并不是那么重要,因为人们一旦脱离了自然,对自然的描述有时就变得简单化了。
惠勒写道:
这里的动态物体不是时空,而是空间。空间的几何形态随时间而变化。但变化的是空间,三维空间。在粒子动力学中,动力学的对象不是x和t,而是只有x…答案很简单。爱因斯坦的几何学动力学处理的是几何学的动力学,是三维几何,而不是四维几何。

文章插图
- 图6:保罗·狄拉克和约翰·惠勒。
- 初始表面的几何形状
- 初始曲面K的外曲率,描述了它在时空中的嵌入,将用爱因斯坦方程构造(见图3)。
拜尔林,夏普和惠勒程序现在我将描述BSW中的步骤。
步骤1
首先,选择两个非常相似(几乎完全相同)的三维指标:

文章插图
- 方程15:两个几乎相同的三维度量。

文章插图
- 图7:两个三维表面的说明。
下一步是用尚未确定的四几何图形填充表面之间的区域。用坐标表示两点之间的距离:

文章插图
- 方程16:两个点的坐标,每个面上各一个点。

文章插图
- 方程17:式(16)中两点间的线元
步骤3
四几何图形是以下BSW作用的极值,并以两个三面的几何图形为边界条件,满足爱因斯坦场方程。
作用积分为:

文章插图
推荐阅读
- 初入职场的我们 《初入职场的我们》郑茹心为什么会离开?
- 观众们 《中餐厅5》录制时间曝光,新阵容备受关注,龚俊周也有望合体
- 米兰时装周 王俊凯为什么能被受邀参加米兰时装周的呢?
- 飞行嘉宾 黄渤为什么中途退出《哈哈哈哈哈》?原因很现实
- 信用卡 为什么银行的人,追着你办信用卡?办卡送礼物,到底有什么秘密?
- 生猪价格 生猪价格正在下跌和上涨。为什么上升这么难?终于找到原因了
- 太空港 哈勃望远镜“继承者”又鸽了!发射时间或延期至年底
- 张哲瀚 被问为什么和龚俊总黏在一起张哲瀚的回答,堪称教科书
- 电子商务 亚马逊调整“休息时间任务”政策 批评者此前称该政策限制上厕所时间
- 警告 霍金生前为什么警告人类,要抓紧离开居住的地球他发现什么
