
文章图片

文章图片

文章图片

文章图片

文章图片

文章图片

文章图片
我们为理解溶液中二维共价有机框架 (COF) 的成核和生长奠定了理论基础 。 通过让我们了解溶剂选择和键合化学等工艺变量如何导致更大的结晶域 , 该基础将使我们更容易在目标应用中实现 COF 的一些独特性质 。 我们使用自由能技术绘制了三个基本反应的反应机制和活化能 , 这些反应负责原型和常用二维硼酸酯材料 COF-5 在水和甲醇溶剂中二维 COF 成核的早期阶段 。 我们表明 , 水和甲醇的存在极大地催化了硼酸酯的形成反应 , 相对于未催化的反应途径 , 活化能垒降低了约 10 kcal mol-1 。 这与 Smith 和 Dichtel (JACS 2014) 的实验观察结果非常一致 。 我们的结晶研究还最终消除了某些建议的生长机制 , 例如大片聚合后堆叠 , 同时加强了模板聚合作为 COF 晶体可能生长机制的情况 。
USA
介绍
共价有机框架 (COF) 是形成特征纳米多孔晶体网络结构的有机聚合物 。 它们已在多种应用中发挥作用 , 包括气体储存和净化、催化和半导体技术 , 这些应用利用了它们独特的热稳定性、重量轻和密度低的特性 。 尽管在制作二维 (2D) COF 家族方面取得了进展 , 但令人惊讶的是 , 人们对它们在溶液中形成的分子尺度机制知之甚少 。 事实上 , 目前合成 2D COF 材料的途径主要是通过反复试验找到的 , 目的是在理想的薄膜形态中生长结晶域 。 指导和控制 COF 成核和生长以获得微米级或更大的单晶域的关键环境因素基本上仍然未知 。
对于影响 COFs 生长的变量 , 包括单层和二元组分、单层和多层厚材料以及可逆和不可逆反应条件的实验研究有限 。 例如 , Zwaneveld 等人研究了单层和二元单层的形成在不可逆反应条件下 , Ag(111) 上的组分 COF 。 它们的超高真空条件从反应表面去除水(反应产物)并防止通过水解分解 。 他们发现的大量环缺陷突出了可逆性在 COF 生长中的重要性 。 单晶畴的形成受热力学驱动 , 需要反应物和产物之间的快速转化以限制动力学诱导的缺陷 。 通过添加五水硫酸铜 (II) , Wan 等人能够重新引入过量的水 , 以在其他相似的生长条件下保持反应的可逆性;在这种情况下 , 他们在高度有序的热解石墨 (HOPG) 上获得了更多无缺陷的 2D COF 单层 。 他们发现系统中增加的水分压使系统能够自我纠正热力学上不利的环缺陷的不必要形成 。 在单组分和二元组分系统中 , 水将百分比覆盖率提高到 98% , 具有热力学有利的 6 元环 。
在一项对可溶性微米级纳米片的有趣切向研究中 , Zhou 等人表明 , 通过使用带有突出甲基的三苯乙烯三儿茶酚单体修饰 , 可以生长出高达几微米大小的独立 COF 单层 , 这不允许“pi-堆叠 。 ”尽管这些大层的缺陷密度未知 , 但理论上 , 严格的单层可溶性纳米片比等效的多层不溶性 COF 纳米片保持反应可逆性的时间要长得多 , 可能会产生更高的无缺陷域 。
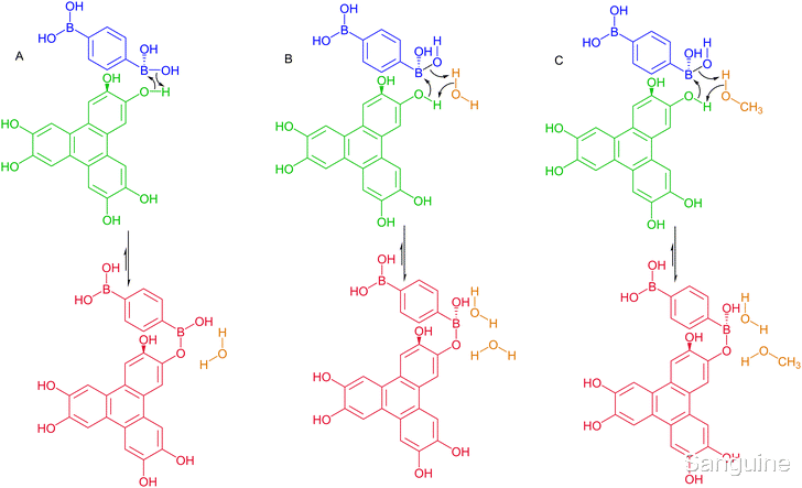
也许是迄今为止最具机械解构性的方法 , Smith 和 Dichtel 通过监测初始均相反应条件下的沉淀 , 获得了描述 2D 硼酸酯 COF 生长的速率定律 。 随着 COF 的生长从可溶性低聚物转变为不溶性微晶 , 沉淀会追踪 COF 形成的速度 , 据报道其活化势垒为 22-27 kcal mol-1 。 在六羟基苯并苯 (HHTP) 和苯基双 (硼酸) (PBBA) 单体中 , 速率定律都是二阶的 , 这表明与低聚物生长不同的非平凡晶体生长机制 。 向溶液中加入过量的水以维持可逆反应条件(硼酸酯 COF 通过缩合可逆聚合) , 这会在 <100> 平面产生更高的平均微晶尺寸;含有 15 当量水(相对于 HHTP 起始材料)的溶液产生最大的微晶尺寸 。 在后续研究中 , Smith 等人通过 NMR 测量了硼酸酯形成的活化能 (7 kcal mol-1) 。 两个高度不同的障碍的存在 , 一个描述沉淀(22-27 kcal mol-1) , 另一个描述聚合(7 kcal mol-1) , 表明低聚物在溶液中快速成核 , 而结晶发生在更长的时间尺度上控制要少得多 。
推荐阅读
- 中科西部干细胞研究院:干细胞如修理大师,调整失控的免疫系统!
- 形变:研究人员发现使病毒失活的新策略
- 基于血红蛋白的氧载体化合物可以保障宇航员的安全
- 小伙浏览不良网站看到一段视频,发现女主角竟是女友,气得报警
- 研究:患者感染新冠病毒后,再次感染风险或降低87%
- 奥密克戎揭示了人类免疫力
- 研究显示:感染了新冠的HIV患者容易产生新冠病毒变异
- 考古学家怀疑是史前核战争遗址的摩亨佐·达罗古城,古印度文明
- 为什么全世界有那么多“蛇岛”,而且岛上的蛇还会越来越毒呢?
- 新冠病毒最终可能走向“静默”与人类共存
