把矩阵看作一个算子——从几何角度解释对称矩阵的三个最重要性质

文章图片

文章图片

文章图片

文章图片

文章图片

文章图片

文章图片

文章图片

文章图片

文章图片

文章图片

文章图片

文章图片

文章图片

对称矩阵是沿对角线对称的矩阵 。 它是一个自伴算子(self-adjoint operator)(把矩阵看作是一个算子并研究其性质确实是一件大事) 。 虽然我们不能直接从对称性中读出几何属性 , 但我们可以从对称矩阵的特征向量中找到最直观的解释 , 这将使我们对对称矩阵有更深入的了解 。
常见的例子是单位矩阵 。 一个重要的例子是:
- 对称矩阵的一个例子
厄米特矩阵(The Hermitian matrix)是对称矩阵的复扩展 , 这意味着在厄米特矩阵中 , 所有元素都满足:
厄米特矩阵的共轭转置与自身相同 。 因此 , 它具有对称矩阵所具有的所有性质 。
- 厄米特矩阵的一个例子
对称矩阵的最重要的性质本节将介绍对称矩阵的三个最重要的性质 。 它们涉及这些矩阵的特征值和特征向量的行为 , 这是区别对称矩阵和非对称矩阵的基本特征 。
性质1. 对称矩阵有实数特征值
这可以很容易地用代数法证明(正式的、直接的证明 , 而不是归纳法、矛盾法等) 。 首先 , 快速回顾一下特征值和特征向量 。
- 矩阵A的特征向量是 , 在A作用于它之后 , 方向不变的向量 。 方向没有改变 , 但向量大小可以改变 。
- 实数特征值给我们提供了线性变换中的拉伸或缩放信息 , 不像复数特征值 , 它没有 \"大小\" 。
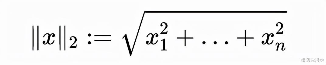
- 式1.1
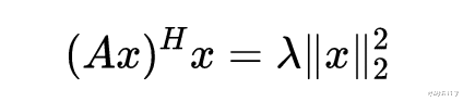
1.1通过x的共轭转置x?得到:
- 式1.2
- 式1.3
推荐阅读
- 本是拜把兄弟,大哥垂涎弟媳美色设计杀害弟弟,后与弟媳生10娃?
- 一天20次,日赚一万元,失足女被抓时累到虚脱:扶我一把,我腿软
- 深圳发生悲剧:男子为打麻将把4岁儿子独自留在家中孩子坠楼身亡
- 印度月球轨道器紧急避让美国探测器,把自己给避让没了?说不清了
- “无限期休战”,交易启动,湖人放大招!一举两得,威少该加把劲
- 男子把“上海青”种成“万年青”!一棵菜传三代,网友评论亮了!
- 杜月笙有一把神秘手枪,因造型奇特从没人认出,至今仍保存博物馆
- 上海一起富婆包养小白脸闹出的血案,色字当头一把刀,男女都一样
- 经理坚持给不合理的合同盖章,出事把责任推给我,还好我早有准备
- 女子占用私人车位被砸车,找物业赔偿被拒:你看看你把车停在哪
