光速 以光速飞行300万光年真需要300万年爱因斯坦飞船上的人根本感觉不到时间
【 光速|以光速飞行300万光年真需要300万年爱因斯坦飞船上的人根本感觉不到时间】光速是宇宙中最快的速度,没有任何粒子的速度能够超过光速,这也是当前物理学的基础之一。如果以光速进行飞行,从地球上看这个宇航员要前往300万光年之外的星球那自然要飞300万年内,一点都不打折,但是在对于这位宇航员而言,他的时间和地球上的时间是不一样的。如果按慢钟效应所说的那样,以光速飞行的宇航员时间接近静止,空间就会变成一个点,显然根据相对论效应,那么这一个宇航员被说飞多久了,马上就挂了。
文章插图
在现代物理学理论中,超光速是不可能出现的,因为一旦出现,那么物理学的基础就没有了,没有物体能够超过光速,只有零质量的粒子才能达到光速。超光速也会引发因果问题,比如一个超光速飞行的航天器,如果他返回地球,那么就可能出现他在出发之前就返回了,颠倒了时空内的因果关系。如果非要设想一下用光速飞行的后果,那么三百万光年的距离对于宇航员而言,时间几乎是没走多远,而地球上却是沧海桑田,所有的东西都变了。而在飞船上看地球,亮点会越来越暗,直到消失。因为地球上的光不会抵达飞船,你看到的地球永远只有一个样子。超光速是不可能出现的,如果要进行超光速,那么肯定不是以现在的方式,而是以时空扭曲的形式前进。比如曲速驱动,利用时空的结构进行超光速旅行,不违反物理学基础。
文章插图
爱因斯坦错了,时间根本就不存在!
宇宙万物运行的速度本身就是光速的(在没有外力作用下),光子静止没有质量,也就是说光子静止自身没有震动速度,只有外在的波动速度。有质量的粒子则既有外在的运动速度,又有粒子自身的震动速度,这两个速度之和正好等于光速!所以宇宙万物只有一个统一速度:光速!
如果物体在外力作用下加速运动,物体运动的速度加上粒子震动的速度只和就超越了光速,这时物体就会自动调节减小自身的总速度,如何减少?就是降低粒子的震动速度。如何降低粒子震动的速度?是因为物体的总速度超光速时,粒子辐射出的能量就会增加,也就是粒子辐射出的能量大于粒子吸收的辐射能量,粒子能量降低了,震动速度自然降低,?始终保持物体总速度等于光速或趋于光速。物体速度越快,粒子辐射就越多,粒子震动就减慢。理论上物体达到光速,粒子震动停止。但有质量的粒子是不可能停止震动的,只能趋向静止。
文章插图
所以物体速度越快,只是粒子震动速度减慢了?。目前最精确的计时器是原子钟,物体速度越快,原子震动速度越慢,看起来就是时间变慢了,实际是原子震动变慢了,这里根本就没有时间的事,只是被用原子计时方式给欺骗了。想不到爱因斯坦也被它欺骗了
以光速飞,飞船要三百万年。。
你的困惑在哪里呢?是飞船上的人觉得飞多久?还是说你想问飞船飞了多久呢?
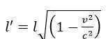
根据公式:
文章插图
(式中:l'代表飞船内观测到的外部距离;l代表地球上观测到的距离,v代表飞船相对于地球的速度;c代表光速。)
根据相对论,达到光速飞行时时间静止,所以在飞船上,飞船内观测到的距离为0,时间经过0!
光已经过了300万年的飞行!
但是在地球上观察,却是已经过了300万年,很难理解,但是根据相对论算出来就是这样。(假设相对论是对的)
推荐阅读
- 为什么在外国猫狗可以和平相处在中国猫狗却像仇人呢
- 卷心菜可以做出哪些美味菜肴?
- 男人神经衰弱怎么办呢
- 新生儿黄疸能不能喝葡萄糖?孕期吃鹅蛋可以预防黄疸吗
- 吃草莓可以改善便秘吗?草莓能美白皮肤吗
- 霉豆腐可以放多久?霉豆腐发黄有粘液是坏了吗
- 鸭血什么颜色可以正常吃?鸭血怎么凝固成豆腐块
- 孕妇可以吃蕨菜吗?蕨菜儿童可以吃吗
- 柿子和牛奶隔多久可以吃?柿子不能和什么一起吃呢
- 红烧鸡爪可以和什么一起烧?
