年龄 怎样通过哈勃常数来计算宇宙的年龄?

文章插图
在20世纪20年代末,美国天文学家哈勃有了重大的宇宙学发现,这直接导致爱因斯坦称自己犯了一生最大的错误。哈勃根据星系的退行速度和距离关系,推导出了哈勃定律,基于其中的哈勃常数就能估算出宇宙的诞生时间。
在哈勃确认河外星系的存在之后,哈勃又发现,星系光谱的红移值和距离存在线性关系,越远离银河系的星系,红移值越高。根据多普勒效应,星系的光谱出现红移现象是因为星系正在远离银河系,并且红移值越高表明星系的退行速度越快。由此,哈勃得到了著名的哈勃定律,即星系的退行速度V和星系与银河系的距离D成正比例关系:
v=H0·D
其中H0表示哈勃常数。
文章插图
根据哈勃定律,宇宙空间在均匀地膨胀。宇宙并非静态的,时间往前回溯,早期宇宙比现在更小。如果时间回到宇宙诞生之初,宇宙空间缩小为一个奇点,这就是宇宙的开端。
假设宇宙空间膨胀的速率自宇宙诞生以来没有发生过变化,那么,星系的退行距离除以退行速度,得到的是星系的退行时间。因此,哈勃常数的倒数,也就是哈勃时间,代表的正是宇宙膨胀时间尺度,可以近似认为这是宇宙的年龄:
tH=1/H0
只要知道哈勃常数,就能估算出宇宙的起源时间。根据美国宇航局(NASA)的费米伽玛射线太空望远镜在2019年的观测结果[1],哈勃常数的测量值约为68(千米/秒)/百万秒差距,也就是说,星系与银河系的距离每增加1百万秒差距(326万光年),其远离银河系的速度会随之增加68千米/秒。由此可以估算出,宇宙的年龄大约为143.7亿年。
文章插图
不过,哈勃常数并非一个真正意义上的常数,因为宇宙空间的膨胀速率在不断发生变化,目前的宇宙正在经历加速膨胀过程。
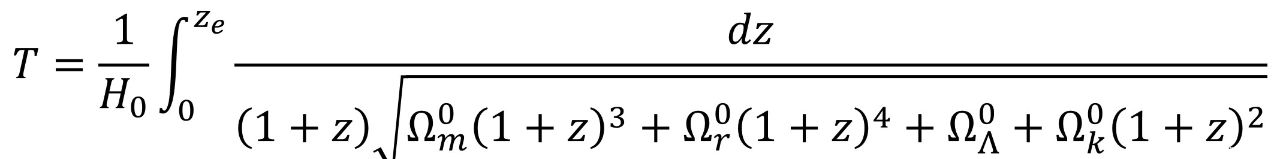
在现代宇宙学中,Λ-CDM模型(基于从广义相对论中推导出来的弗里德曼方程)给出了目前为止最为精确的宇宙年龄计算公式:
文章插图
通过测量出公式中的各项参数,可以知道宇宙的诞生时间大约为138亿年前,这与哈勃时间相接近。
参考文献
【 年龄|怎样通过哈勃常数来计算宇宙的年龄?】[1] Alberto Domínguez, Radoslaw Wojtak, Justin Finke, et al., A new measurement of the Hubble constant and matter content of the Universe using extragalactic background light γ-ray attenuation, arXiv:1903.12097.
推荐阅读
- 理论 黑洞是什么,它又是怎样形成的,一起来认识下吧
- 国内本科毕业,银行工作8年,怎样去新加坡工作
- 怎样才能遇到一个对的人
- 视点·观察 美团员工被曝通过钓鱼邮件获取拼多多薪资信息 检方:侦查阶段,不便透露
- 女航天员 我国首位女航天员刘洋,为何返回地球后没有消息了?现在怎样了
- 地球 地球上空,美国宇航员在空间站进行着全球直播,绳子断了会怎样?
- 地球 如果地球70陆地,30海洋,这个世界会怎样
- 宇宙 一条让人们非常绝望的物理定律,通过它我们似乎看到了宇宙的未来
- 怎样在自己想租的小区租到房子
- 户型不合理的二手房怎样合理的改造怎样装修更合理
