飞机身上的“筛子”到底是什么?
细心的朋友如果注意观察,一定会注意到不少飞机的机身上都会有密密麻麻的网状孔,就像我们平时生活里会用到的筛子一样,比如说下图就是欧洲台风战机的进气道,就在进气道的上表面分布着密密麻麻的小孔。
文章插图
↑“台风”战机进气道上表面的“筛子”↑
而类似的,不少战机都会有这样的结构。那么好端端的,为什么要在飞机的表面打上这么多小孔呢?不怕漏风吗?
文章插图
文章插图
事实上,这个东西就是用来“漏风”的,并且对于飞机的正常飞行而言,这个风必须要漏,不得不漏,因为要防范着一种叫做“附面层”的东西。
什么叫附面层
空气、水这些都是流体,而当流体轻拂过物体表面的时候,会产生一种奇特的现象:附面层。简单说,因为物体表面跟气流之间会存在摩擦,所以在特别靠近物体表面的位置,气流相对物体表面几乎是不动的。
我们可以想想这样的场景:
排列整齐的一大群人在一堵墙的一侧,以一定的速度行走。最靠近墙的第一列因为贴着墙,被限制住了动作,所以没法往前走,速度为0。第二列的队员会受到第一列的影响,但是好歹可以往前蹭一蹭,速度虽然依然很慢,但好歹不是静止不动了。类似的,第三列相对第二列,速度会更快一点儿,第四列相对第三列,速度还能更快……越往外的队列,行进的速度就越快,直到往外到了某一列,速度终于跟方针整体的速度差不多了。
文章插图
下面这张图就展示了什么是附面层,我们可以从图中看到,在远离物体表面的地方,气流流动非常正常,但是越靠近物体表面,气流速度就越低。而这部分“不正常流动”的气流,就是“附面层”。
【飞机身上的“筛子”到底是什么?】
文章插图
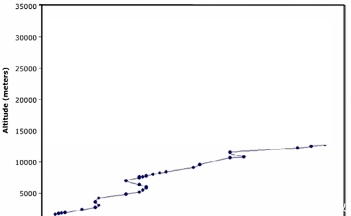
不要以为附面层离我们很远,我们观察不到,实际上,我们所有人都生活在附面层中。下面就是风速和高度之间的关系,我们发现,在一定范围内,越靠近地面的地方,风速就越低。
文章插图
↑风速和高度之间的关系(横坐标-风速;纵坐标-高度)↑
简单说,地球在转动,会带动周围的大气一起运动,而最靠近地表的那部分大气会几乎相对地表静止,或者换句话说,就是我们站在地表上,会觉得风速很低。
而我们看到的飞机表面的“筛子”,为的就是消除这些附面层。
为什么要防着附面层?
当流体刚开始接触物体、安稳地流动的时候,附面层的厚度实际上很小很小(往往只有几个毫米),可能需要通过放大镜仔细观察才能够看到这一层薄薄的气流层。那么为什么飞机必须要小心防范着这看似微不足道的附面层呢?这是因为附面层有可能会发生“扩散”。
我们知道,流体的流动往往是不稳定的,稍有一些扰动就会引起整个系统的崩溃。我们还是拿刚刚行进的队列举例:
虽然一开始整个队伍还是有条不紊地往前走,结果突然有一个同学被绊倒了,影响到了旁边的同学,然后大家一个接着一个倒下来,最后整个队伍都乱了。
或者还有一种情况,就是这个墙并不是平直的,而是在哪儿拐了个不大不小的弯,所以靠墙的队伍就先乱了,然后再逐层往外影响,最后依旧是整个队伍混乱不堪。
而气流在飞机表面的流动也是一样的,只要气流一直贴着物体表面走,那么迟早会因为各种各样的原因而产生湍流现象:这些原因可能是物体表面形状改变,可能是一个微小的扰动,又或者气流本身的方向就变了,总之,原本横向流动的气流突然变得乱七八糟,这对飞机的影响就大了。
文章插图
文章插图
比如说飞机的进气道,一旦进气道内出现附面层扩散的现象,就意味着原本“整整齐齐”进入发动机的气流变得“混乱不堪”,而发动机就会像人喝水被呛到一样,发生名为“喘振”的现象,威胁到飞机的安全运行。
推荐阅读
- 交付 沉了!这艘刚交付的“新”船只跑了3次!船东将遭起诉和高额索赔
- 理论 黑洞是什么,它又是怎样形成的,一起来认识下吧
- 速度 宇宙中比光速更快的四种“速度”,你都知道几个
- 氢能冶金 碳中和正在进行时,炼铁氢还原替代碳还原的新时代已至!
- 约瑟夫·拜登 非要跟中国较量?美国疯狂印钞6万亿,结果搬起石头砸自己的脚
- 初入职场的我们 《初入职场的我们》郑茹心为什么会离开?
- 这就是街舞3 娱乐圈中的团宠,张艺兴凭借偶像特质,征服全网观众,获赞无数
- b《心动的信号4》官宣阵容,baby加盟,郭麒麟、宋祖儿惊喜现身
- 向往的生活5 李诞拥抱张艺兴,后者一脸地抗拒,但张艺兴和杨紫却可以亲密互动
- 心动的信号4 嘉宾阵容大洗牌!baby、宋祖儿加盟,张翰、杨超越退出
