魔都房房房 9号线9号公馆强势收官,今启认筹!约79-98㎡配置高到离谱!

文章图片
文章图片
文章图片
文章图片
文章图片
文章图片
文章图片
文章图片
文章图片
文章图片
文章图片
文章图片
文章图片
文章图片
文章图片
文章图片
9号公馆效果图
9号线9站热浪直抵徐家汇终极来袭:地铁9号线神盘「9号公馆」二期, 经典再来 ,推出主力建面约79-98㎡两房三房 , 融入 黑科技的精装修,室外泳池, 全功能泛会所 , 儿童乐园 ,草坪会客厅, 四季花巷!压轴收官仅296席典藏臻品 !今启认筹!
9号公馆楼栋效果图
建面约:
79㎡大二房 ,98㎡正三房
在上海买 地铁品质好房
绝对不容错过的好项目!
认筹时间:1月5日-1月9日
开盘时间:1月19日
或点击“”进入报名页面
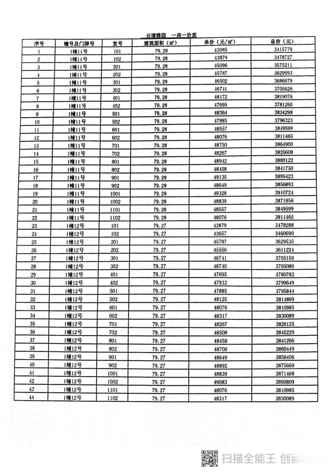
全一房一价表:
「9号公馆」
精彩样板间实拍视频抢鲜来看
79㎡样板间
98㎡样板间
【魔都房房房|9号线9号公馆强势收官,今启认筹!约79-98㎡配置高到离谱!】
「9号公馆」
精装细节鉴赏
1招商蛇口全面升级之作
有别市面上的 绝大部分350-550左右总价的地铁房, 仰仗 自身轨交优势, 对产品的打造 马马虎虎, 而作为 千亿央企中国城市及园区综合开发与运营服务商的招商蛇口 从一开始就以 打造区域标杆为己任, 在去年 红遍上海的招商虹桥公馆 的基础上 , 继续 不惜成本地进行了全面的升级, 而当我们研究 「9号公馆」 产品后 , 会发现无论是 景观、建筑、会所、户型、科技细节 等等 , 不仅达到了 9号线全新品质标杆, 更是 整个上海同价位段的不二之选!
9号公馆大门效果图
9号公馆楼栋效果图
「9号公馆」 整体社区 容积率仅1.8, 住宅 车位配比1:1, 由 12栋小高层组成,楼间距开阔 , 采光、景观俱佳 。
项目并以 五大Social空间 打造 , 首先 , 将配置 豪宅和高端度假酒店才能拥有的 室外泳池, 水深 约0.6-1.4米, 小朋友也可以 游泳戏水, 还配置 淋浴房和更衣区, 相当周到 。
9号公馆社区效果图
儿童乐园携手 季高, 环保、耐久 , 更专业考虑儿童与家长需求 , 以海洋为主题 , 在设施上不仅 充分考虑不同年龄小朋友的需求, 更为 家长打造交流空间 。
推荐阅读
- 速度 宇宙中比光速更快的四种“速度”,你都知道几个
- 古镇 四川一“避暑古镇”火了,距成都仅22公里,游客:来得值
- 工作室 安吉和小鱼儿录跑男?全网都被沙溢工作室带跑偏了!
- 太阳 宇宙中所有星球都悬在空中,是什么力量在起作用这里告诉你答案
- 刘彦春 无论你负债多少,三年内都可还清所有债务!
- 张安 张翰连上三档综艺都被嘲,总裁专业户不能真把自己当“霸总”
- 烂片 6部圈钱烂片,每部都是在侮辱观众智商,你看过几部
- 利息 假如美国一口气“印钞”28万亿,把欠的债都还清了,会发生什么?
- 假发 baby在节目中摘下假发片,真实发量一览无遗,蔡徐坤都看傻眼
- 犯人就是你 给我把这预言家刀了——李光洙篇,恋爱、事业、甚至车祸事故都一一命中,太准了呀!
