欧拉常数——最神秘的数字,调和级数的产物,至今看不清它的面貌

文章图片

文章图片

文章图片

文章图片

文章图片

文章图片

文章图片

文章图片

文章图片

文章图片

文章图片

文章图片

文章图片

文章图片

文章图片

文章图片

文章图片

文章图片

还记得调和级数吗?
通常情况下 , 它是我们遇到的第一个级数 , 是一个递减级数 , 但却发散到无穷大 。 然而 , 在这篇文章中 , 我们关注的是这样一个问题:
这里 , 我们所说的部分和 , 是指级数的前n项 , 即:
事实证明 , 有一个 , 即自然对数函数 。 当n变大时 , 部分和与ln(n)之间的差异接近一个有限的极限 。 这个极限被称为称欧拉-马斯克若尼常数 , γ(gamma) 。
该常数首次出现在1734年 , 其名称来自两位数学家欧拉和意大利数学家马斯克若尼 。 之所以采用gamma这个符号 , 很可能是因为这个常数与gamma函数(阶乘函数的延伸)有关 。 尽管已经存在了近300年 , 但它是有理数还是无理数一直是个谜 。 另外 , gamma是代数性的还是超越性的也是未知的 。
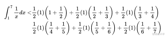
调和数列与对数函数的关系如何?确切地说 , 这就是本文的内容 。 接下来的过程依赖于几何直觉 , 是一个建立良好的级数收敛检验的原型 , 即积分检验法 。
设:
那么:
为了更好地理解 , 本文分为四个部分:
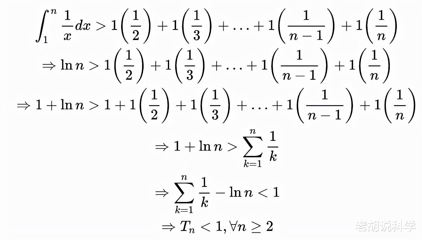
- 证明T_n是有界的 。
- 证明T_n是单调递减的 , 因此 , 有一个确定的极限 , 即γ(gamma)存在 。
- 为γ找到一个更严格的下限 。
- 为有兴趣的读者提供一些围绕级数收敛的额外(严格)细节 。
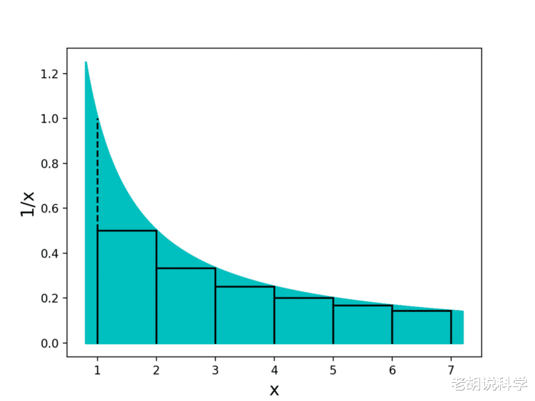
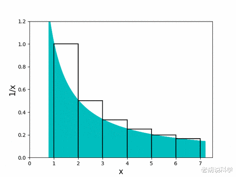
从上述情况可以看出:
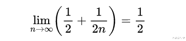
推而广之 , 我们得到:
在证明了T_n自下而上有界后 , 我们现在继续证明它自上而下也是有界的 。 之前 , 矩形的面积主导了曲线下的面积 。 那么 , 反过来呢?让我们来看看 。
推荐阅读
- 平行宇宙理论是否支持回到过去?——霍金时间派对番外篇 原创
- 全球化国际教育系列——达尔文
- 无线电——世界因此相邻
- 全球化国际教育系列——爱因斯坦
- 最“特殊”的凶手——1970年香港“龙虎山双尸奇案”
- 钮文新:写在A股休市之后——中国证券业亟需强化“四个意识”
- 全球化国际教育系列——霍金与黑洞
- “世界上最美的蝴蝶”——光明女神闪蝶
- 地球的姐妹星球——“地狱之星”
- 著名科技发明机构公司实验室——宇宙发明中心UNIVERSE INVENT
