
文章图片

文章图片

文章图片

文章图片

文章图片

文章图片

文章图片

文章图片

文章图片

文章图片

文章图片

文章图片

文章图片

文章图片

文章图片

文章图片

文章图片

文章图片

文章图片

文章图片

文章图片

文章图片

文章图片

文章图片

文章图片
成为物理学大师是一个漫长的过程 , 需要做大量的思考和研究 , 本文将让你迈出第一步 。
我们经常谈论物理学 , 好像它仅仅是一些事实和方程式 。 F=ma、能量既不能被创造也不能被毁灭、E=mc^2、恒星是由氢气聚变成氦气和更重元素的巨大球体等等 。 这些事实和方程式既可以构成我们理解的基础 , 也可以是我们理解的结果 , 但做物理学就是要把这两者联系起来 。
我不可能把每一个问题中使用的每一个技巧和准则都说出来 , 这里我介绍一下物理学中最常用的一些技巧和准则 。
尽量列出一个明确的方程式你可以使用方程来解决相当数量的问题 , 有n个未知量就需要列出n个独立方程 。
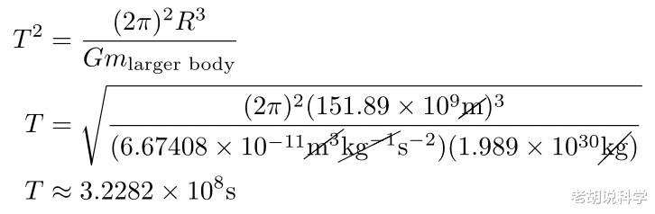
例子:天体力学
开普勒第三定律将太阳的质量、轨道的半径/半主轴和轨道的周期联系在一起 , 因此我们可以通过解开普勒第三定律中的T并插入我们已经知道的数值来得到周期 。
如果太阳的质量是目前的百分之一 , 而地球的轨道不变 , 那么地球要花多长时间才能绕太阳一圈?
推荐阅读
- 历史上十位被自己发明杀死的科学家
- 2001年,英国背包客情侣深夜遇袭,女友逃生男友失踪,谁是真凶?
- 物业好心提醒:这几种车位最好别买,有你后悔的时候
- 女子占用私人车位被砸车,找物业赔偿被拒:你看看你把车停在哪
- 酷似克苏鲁之眼!AI仿生眼未来将超越人眼,成为元宇宙之门?
- 男子追着汽车奔跑的一幕令人心酸,网友:如果你穷,爱情追不回来
- 揪心!湖南一轿车不慎坠河致2人身亡,现场情况曝光
- 时速100千米的汽车,抵达冥王星需6849年,到达火星需要228年
- 历史上有什么诡异事件,但其实是很有科学道理的?
- 车子坠入冰河,救援队紧急赶来,车主的行为却让所有人愤怒
