
文章图片

文章图片

文章图片

文章图片

文章图片

在太阳系中 , 太阳无疑是中心天体 , 它通过氢核聚变产生的能量照亮了太阳系 , 而且它的强大引力束缚住着太阳系中的各大天体 , 包括地球在内的八大行星、矮行星、小行星、彗星等天体都在绕着太阳公转 。
尽管如此 , 作为太阳系中已知质量最大的行星(317.8倍地球质量) , 木星并不是绕着太阳公转 。 事实上 , 所有行星的运动并不是绕着太阳公转这么简单 , 而且太阳也不是相对于其他行星固定不动 , 太阳系的天体运动其实非常复杂 。
太阳的中心地位来自于它那巨大的质量——相当于地球质量的33.3万倍 。 太阳系中的天体数量非常多 , 仅在内太阳系中(木星轨道以内的范围) , 就有1.5亿颗直径超过100米的小行星 。 然而 , 除了太阳之外 , 所有太阳系天体加起来的总质量仅为整个太阳系总质量的0.14% 。
拥有多达99.86%太阳系总质量的太阳 , 可以产生十分强大的引力 , 最远可以主宰1光年外的天体运动 。 不过 , 太阳并非等同于太阳系的真正中心 。 至于原因 , 可以通过太阳-木星的双星简化模型来进行解释 。
牛顿的万有引力定律告诉我们 , 太阳对木星施加引力的同时 , 木星也会对太阳施加相同大小的引力 。 在万有引力的作用下 , 太阳和木星有相互吸引并靠近彼此的趋势 。
但太阳和木星并没有因为引力作用而发生碰撞 , 这是因为这两个天体都在做圆周运动 , 引力刚好充当了向心力 。 的确如此 , 木星在做圆周运动 , 太阳其实也在做圆周运动 , 它们的绕行中心都不是各自本身 , 而是它们的共同质量中心或者引力中心 。
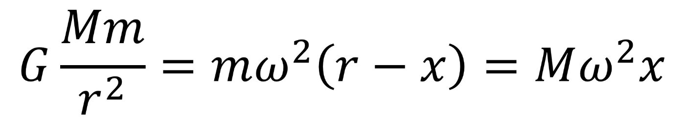
假设太阳质量为M , 木星的质量为m , 日木距离为r , 太阳到共同质心的距离为x , 角速度为ω(两个天体的ω相等) , 根据牛顿力学可以得到如下的关系式:
化简后可以得到如下的结果:
代入具体数值可得x=74.23万公里 。 由于太阳在自转 , 导致太阳是一个扁球体 , 所以太阳的赤道半径在所有半径中最大 , 为69.63万公里 。 由此可见 , 日木的共同质心不在太阳内部 , 而是位于距离太阳表面46000公里(相当于地球直径的3.6倍)之外 。
无论是太阳 , 还是木星 , 它们都会环绕这个共同质心转动 。 只是太阳的公转轨道半径很短 , 很快就能绕行一周 。 而木星的轨道半径很大 , 绕行一圈需要长达11.86年 。 这两个天体的运动方式如下图所示:
如果考虑到整个太阳系的天体 , 实际情况要更加复杂得多 。 随着各个天体的运动 , 太阳系的质量分布将会随之发生变化 , 所以整个太阳系的共同质心不是固定在太阳中心 , 而是在不断发生变化 。
如果太阳系的质量均匀分布 , 共同质心将会位于太阳内部 , 甚至位于太阳中心 , 比如1990年的太阳系共同质心位于太阳核心区域附近 。 如果太阳系的质量分布不均 , 共同质心将会位于太阳外部 , 比如1981年的太阳系共同质心在太阳表面之外 。
只是由于太阳的质量太大了 , 即便共同质心不在太阳之内 , 也会在太阳表面附近 , 所以很多时候我们都进行简化处理 , 把太阳的相对位置视为不变 , 其他天体在绕着太阳公转 。
在现实中 , 太阳确实会沿着半径方向进行摆动 , 幅度有大有小 。 如果宇宙中有先进的外星文明 , 他们通过观测太阳的径向摆动 , 可以间接发现太阳系各大行星的存在 。 事实上 , 天文学家正是通过这样的方法 , 已经找到了很多遥远的系外行星 , 其中一些甚至有可能存在生命 。
【木星|被骗了多少年?木星压根没有绕太阳转动!】只不过以当前我们的宇航技术 , 亲自造访这些遥远的外星世界是不可能的 。 目前比较值得期待的是在本世纪中后叶 , 发射光速10%的星际飞船 , 用大约50年的时间飞抵4.2光年外的三合星系统——南门二 。 到了那里后 , 星际飞船把探测数据用光速传回地球 , 我们还要再等4年多的时间才能接收到 。
推荐阅读
- 照亮月球最黑暗的区域
- 全球最强太空望远镜就位!斥资100亿,将探索135亿年前第一批行星
- 太阳或将进入“冰河时代”,科学家真的要用核弹引燃木星?
- 太阳系有三处“异常”被发现,科学家:可能和外星文明有关系
- ?关于多普勒摆动的介绍
- ?人类需要用新颖的通信方法、工具和技术来搜索外星人
- 人类已经被困在了太阳系:除了光速之外,氧气也是一个限制因素!
- ?了解地球以外的先进智能生命
- 宇宙漆黑一片,为什么太阳光照不亮太空?光去了哪里?
- 搜寻地外文明发展的综合愿景
