有机人名反应——Wittig-Schlosser反应

文章图片

文章图片
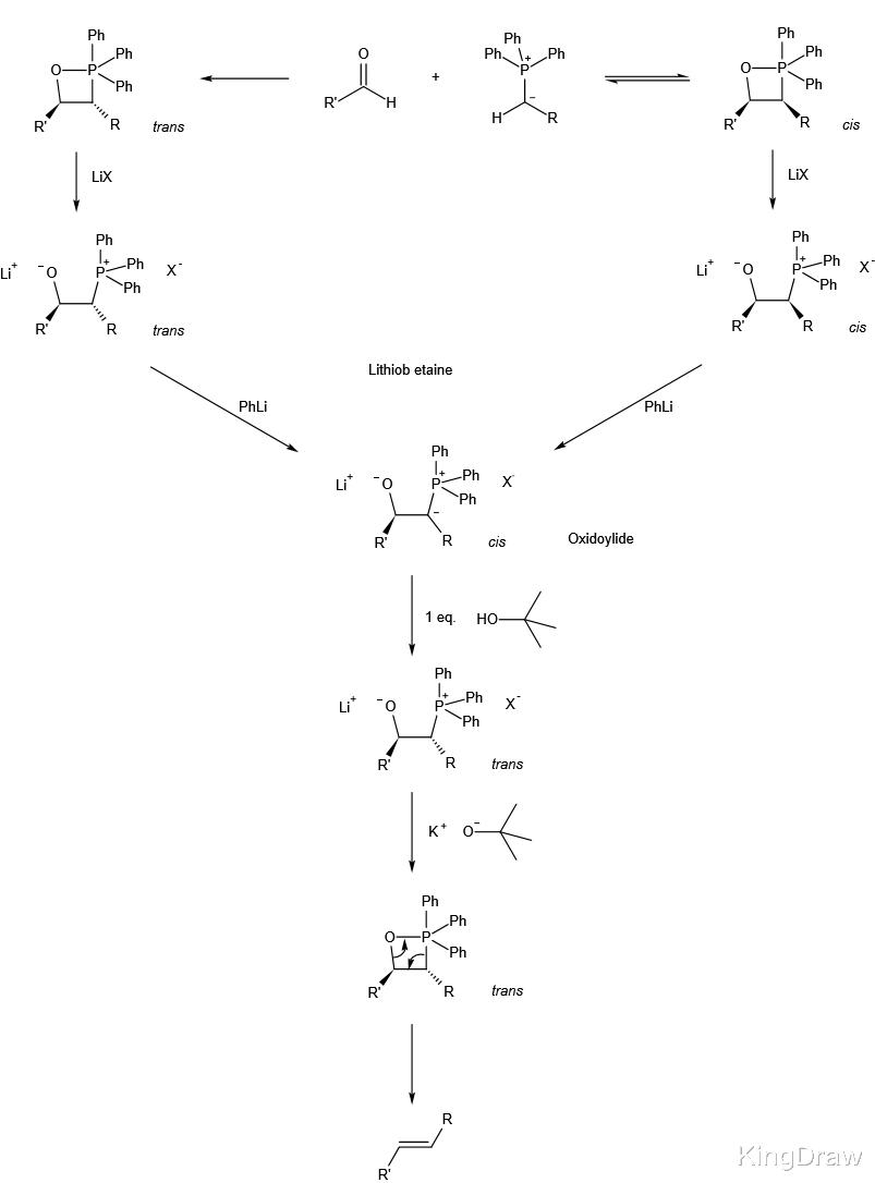
Wittig-Schlosser反应(Wittig反应Schlosser改进法)
Wittig反应 , 是醛或酮与三苯基磷鎓内盐(Wittig试剂)作用生成烯烃和三苯基氧膦的一类有机化学反应 , 常规的Wittig反应中叶立德和醛反应得到是Z构型的烯烃 , 而Schlosser改进法生成的是E构型的烯烃 。 在反应的叶立德的形成步骤和脱质子/质子化步骤加入锂盐和苯基锂 , 实现了立体选择性 。 由于该反应具有很强的应用性 , 因此它已经成为有机合成化学家十分重要的工具 。
反应机理由于锂盐效应 , 形成的甜菜碱类中间体不能继续发生Wittig 反应 。 形成的甜菜碱锂盐能够稳定的进行脱质子反应 。 脱质子后 , 形成的碳负离子是平面结构 , 失去了手性中心 。 然后加入大位阻的氢离子供体 , 得到反式结构的甜菜碱锂盐 。 反应中甜菜碱锂盐的锂用钾替换 , 反应按正常的Wittig反应历程进行 , 得到产物 。
【|有机人名反应——Wittig-Schlosser反应】
推荐阅读
- 水不溶性药物由于溶解度低需要大量有机增溶剂,容易导致不良反应
- 男子趁女室友酒醉发生关系,女子反应过来反抗,3分钟最终判3年
- 高能凝聚相辐解是由低能电子诱导反应介导的
- 探索核聚变原理,核聚变反应堆一定会越来越小,美国又走在了前面
- ?光化学反应涉及链式反应机制
- ?碳质球粒陨石的有机成分
- Nature Sustain|南京大学研发新型石墨烯气凝胶,通过界面光热催化实现更环保、更高转化率的酯化反应
- 收费员变成抢劫犯?多名豪车女司机反应不过来:真以为他是收费的
- 华林科纳反应离子蚀刻的实用方法报告
- ?关于恒星中有机元素的形成和化学行为的介绍
