
文章图片

文章图片

自闭症会严重影响儿童沟通、社交互动 , 甚至还会导致儿童发育障碍 , 这些儿童需要特殊教育 , 大额的医疗保健费用以及父母长时间的照顾和陪伴 , 这些为社会带来重大的经济负担 , 每一个自闭症儿童的家庭都有一片散不尽的阴霾 。
日前 , 《干细胞转化医学杂志》(STEM CELLS TRANSLATIONAL MEDICINE)上发表了一篇脐带间充质干细胞治疗儿童自闭症的人体临床研究 。 该研究证实 , 脐带间充质干细胞治疗儿童自闭症是安全可耐受并且有效的[1
。
1自闭症谱系障碍与当前治疗现状
自闭症的医学名词叫做自闭症谱系障碍 , 主要表现为社交互动和交流方面的缺陷 , 还会出现焦虑、注意力缺陷(多动症)、睡眠障碍 , 甚至还会出现运动障碍(比如肌肉无力、用脚趾走路、动作笨拙)、智力障碍以及胃肠道方面的问题(比如慢性便秘、腹泻、腹痛) 。
已有研究证实 , 自闭症与炎症以及免疫失调相关 , 包括大脑炎症以及胃肠道的免疫失调 。 表现为自闭症儿童血清中巨噬细胞衍生的炎症趋化因子(MDC)水平升高 , 并且 , 严重自闭症儿童的血清MDC水平显著高于轻中度自闭症患者[2
。
【恒星|研究证明:20名自闭症患儿接受间充质干细胞治疗,病情得到改善】
目前 , 对于自闭症的治疗仅限于心理干预 , 和一些语言、行为的锻炼 , 还有一些抗精神病类的药物 。 这些治疗方法益处有限 , 并不能从根本上对儿童自闭症起到治疗作用[3
。
2间充质干细胞用于治疗儿童自闭症
间充质干细胞具有免疫调节和抗炎的特性 , 基于这两种特性 , 间充质干细胞治疗已经安全地用于治疗多种自身免疫性疾病和神经系统疾病 。 特别是围产组织来源的间充质干细胞 , 比如脐带来源的间充质干细胞 , 比其他来源的间充质干细胞有更好的免疫调节活性和增殖能力 。
迄今为止一些研究已经证明 , 96%的自闭症儿童在接受间充质干细胞治疗后 , 病情会得到改善 。 行为模式改善率66% , 社会关系改善率90.6% , 语言交流改善率78%[4 5
。
3
20名患儿接受了间充质干细胞治疗
2015年3月至2015年12月期间 , 选取20名自闭症6-16岁未接受过干细胞治疗 , 并且根据《精神疾病诊断统计手册》第四版确诊自闭症谱系障碍的儿童进行该项临床研究 。 受试者每3个月接受一次治疗 , 在9个月中共进行4次治疗 。
首先从健康出生的婴儿的脐带分离出脐带间充质干细胞 , 进行培养和扩增 。 在使用前完善注射细胞制剂的安全性检查 , 包括细胞活力、有无细菌病毒污染等 。 然后经静脉注入受试者体内 , 注射在2个小时内完成 。
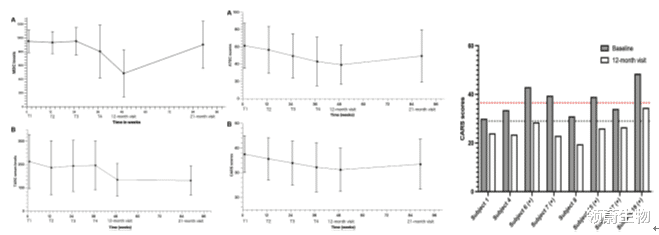
接下来 , 对受试者随访一年 , 在治疗后3个月和12个月时进行完整的医学检查和精神病学评估 , 全血细胞计数、完整的代谢组和传染病测试、血清炎症因子(MDC)水平以及自闭症特定问卷(CARS 和自闭症治疗评估清单ATEC) 。
从安全性角度来看 , 整个临床试验过程中没有出现与干细胞治疗相关的不良事件 , 两名受试者出现注射部位的轻度炎症 , 但均自行好转 。 在整个研究期间 , 没有观察到基本血液学和化学实验室测试的临床明显变化 。
从临床疗效上来看 , 该次试验中的受试者体内血清MDC(炎症因子)水平与基线相比呈现下降趋势 。 并且受试者的自闭症评分CARS分数有所改善 。 完成完整疗程的受试者均从中重度自闭症症状改善到自闭症诊断标准之下 , 效果显著 。 这些受试者的ATEC量表也有所改善 。
近年来 , 间充质干细胞注射治疗儿童自闭症已发展至人类临床试验阶段 , 并且取得了积极的临床效果 。 未来 , 间充质干细胞治疗的发展与普及无疑会拯救无数自闭症的“无声天使” , 也将拯救无数笼罩在自闭症阴霾下的家庭 。
推荐阅读
- 为人类敲响警钟!57000年前的尸体重见天日,史前生物现身引发关注
- 哈勃望远镜捕捉到星爆图像,恒星正在形成?
- 一个神秘物体,既不像超新星又不像脉冲星:它是什么?
- 一百多颗恒星“消失”,是什么原因?科学家怀疑是外星文明干的
- 美国碰瓷也没用!中国成功问鼎世界第一后,太空又传来好消息
- 断肢能重生?科学家用药物使青蛙断肢重生!什么原理?人行不行?
- ?关于多普勒摆动的介绍
- 土壤农业化学家朱兆良院士逝世
- 地镜:全地球望远镜,史无前例的巨大望远镜
- 宇宙漆黑一片,为什么太阳光照不亮太空?光去了哪里?
