加州大学伯克利《Chem. Sci》活细胞中钾离子比例荧光成像的双荧光传感器

文章图片

文章图片

文章图片
来源:【高分子材料科学】微信公众号
【科学背景】
钾离子(K+)是人体中最丰富的细胞内金属 , 在调节细胞内液量 , 营养运输以及通过神经和肌肉收缩的细胞间通讯中起着至关重要的作用 。 另一方面 , K+动态平衡的异常改变导致多种疾病 , 涉及心血管和神经系统疾病 , 糖尿病 , 肾脏疾病和癌症 。 由于细胞内和细胞外K+浓度之间的巨大差异([K+
内= 150 mM , [K+
额外= 3-5 mM) , 对K+生理学和病理学的研究尚未得到满足 。 相对缺乏可靠地测量生物样本中细胞内K+动态变化的方法 , 这些方法满足了对K+的低亲和力和高选择性的双重挑战 , 尤其是对钠离子(Na+)而言 , 目前可用的荧光K+传感器在很大程度上通过高亲和力受体进行了优化 。 更适合细胞外K+检测 。
【科研摘要】
最近 , 加州大学伯利克分校Christopher J. Chang教授团队报告比例钾离子传感器1(RPS-1)的设计 , 合成和生物学评估 , 该传感器是一种双荧光团传感器 , 能够对活细胞内钾离子进行比例荧光成像 。 相关论文A dual-fluorophore sensor approach for ratiometric fluorescence imaging of potassium in living cells发表在《Chemical Science》上 。 RPS-1通过钾键将对钾离子具有低亲和力 , 高选择性冠醚受体的钾敏感荧光传感器片段(PS525)与钾不敏感的参比荧光团(香豆素343 , Coumarin 343)通过酯键相连 。 在细胞内递送后 , 酯酶定向的裂解将这两种染料分裂成单独的片段 , 从而可以按比例检测K+ 。 RPS-1对水性缓冲液中的K+有反应 , 对竞争性金属离子具有高选择性 , 并且在稳态细胞内水平对钾离子敏感 , 并且可以对从该基础设定点开始的减少或增加做出反应 。 此外 , RPS-1被用于比较筛选一组不同癌细胞系中的K+库 , 揭示了转移性乳腺癌细胞系相对于正常乳腺癌细胞的基础细胞内K+升高 。 这项工作为研究细胞内钾动力学提供了独特的化学工具 , 并且是基于不依赖FRET或相关能量转移设计的双荧光团方法设计其他比例荧光传感器的起点 。
【图文解析】
1. 比率钾传感器-1(RPS-1)的设计 , 一种用于比率钾检测的双荧光探针
为了开发一种适合细胞内使用的钾比例计量传感平台 。 原则上 , 钾敏感部分应具有低亲和力受体 , 以更好地匹配150 mM范围内的高水平静息细胞内K+池并通过基于强度的开启响应做出响应 , 而钾不敏感染料则应钾传感器显示出独特的光谱激发和发射 , 用于内部校准 。 由于缺乏对K+的荧光响应 , 作者选择香豆素343作为内标荧光团 , 并针对传感器的其他部分设计和合成了新的钾敏感染料钾传感器525(PS525)(示意图1a) 。 香豆素343通过两个基于酯的接头与PS525偶联 , 得到RPS-1(示意图1b) 。 RPS-1传递到细胞后 , 细胞酯酶将裂解酯键 , 以1:1的比例提供两个单独的荧光团PS525(对K+敏感)和香豆素343(对K+不敏感)(示意图1c) 。 切割后 , 两个荧光团由于其带负电荷的羧酸根基团可被细胞捕获 。 这样 , PS525和香豆素343的各自发射曲线的比率可以确定细胞内K+浓度的读数 。
示意图1比例钾传感器1(RPS-1)的设计和作用 。
2.K+响应型开启探针钾传感器525(PS525)的合成与表征
由于RPS-1设计由与内部染料标准品相连的K+响应荧光部分组成 , 用于比例式校准 , 因此作者试图制备一种新的开启荧光传感器 , 该传感器在高细胞内[K+
范围内对K+有选择性地响应 150 mM 。 为了实现这一目标 , 选择了套索状醚修饰的氮杂-冠状醚受体作为K+响应部分 , 因为与cryptand和G-quadruplex部分相比 , 它对K+保留的Na+选择性高 , 但对K+的结合亲和力较弱(图 1b和2a) 。
图2PS525的开启响应和钾选择性 。
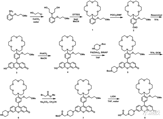
示意图2中显示了K+反应性部分钾离子传感器525(PS525)的合成 。 套索醚改性的氮杂-冠醚1是使用已公开的方法合成的 , 然后在N , N-二甲基甲酰胺中使用磷酰氯 , 通过Vilsmeier-Haack反应 , 通过Vilsmeier-Haack反应转化为氧杂蒽2 , 然后以三氟乙酸为溶剂进行间苯二酚缩合 。 Rhodol 3的合成方法是将2上的羟基转化为三氟甲磺酸酯基 , 然后进行Buchwald-Hartwig胺化反应 , 添加叔丁氧羰基(Boc)保护的哌嗪基 , 并用痕量三氟乙酸处理 。 最后 , 通过使3与2-溴乙酸甲酯反应 , 然后在四氢呋喃和水的混合物中处理氢氧化锂 , 获得PS525 。
推荐阅读
- 大学生Ryan Pickren因入侵Mac电脑摄像头而获得苹果公司的高额赏金
- 1995年四川女大学生被拐,55岁老汉花120元买下,跟牲口住了17年
- 女大学生遭杀害“煮熟切成片” ,悬案“南大碎尸案”家属有新诉求
- 女大学生陷入求职陷阱,前后被骗近万元,老板:3000元是培训费!
- 女大学生怀孕现象屡见不鲜,这三类女孩常在其中,意料之中的现象
- 女大学生李倩月被男友所害,父亲提出一个请求,旁人为之动容
- 美女大学生沦落到风餐露宿,独自在异乡漂泊,网友:神仙也救不了
- 1996年,南京大学碎尸案,为何凶手至今没有找到?
- 安徽:女子好不容易上大学,毕业后无奈返乡,边啃馒头边摆摊
- 四川一女大学生“火”了:住在桥底,穿着睡衣读书,画面让人心酸
