
文章图片

文章图片

开放式金属-有机骨架被广泛认为是在催化、分离、储气和分子识别等领域应用的有前景的材料 。 与常规使用的微孔无机材料(如沸石)相比 , 这些有机结构通过控制孔的结构和功能化 , 具有实现更灵活合理设计的潜力 。 到目前为止 , 这些开放框架无法支持永久孔隙率并避免在没有客体分子(如溶剂)的情况下坍塌 , 阻碍了该领域的进一步发展 。 在这里 , 我们报告了一种金属有机骨架的合成 , 该骨架保持结晶 , 如X射线单晶分析所证明的那样 , 并且在完全去溶剂化和加热到300°C时稳定 。 这种合成是通过借鉴金属羧酸盐簇化学的思想来实现的 , 其中有机二羧酸盐接头用于反应 , 当用单羧酸盐封端时会产生超四面体簇 。 添加的接头的刚性和发散特性允许将簇连接到三维框架中 , 从而形成比大多数多孔结晶沸石具有更高表观表面积和孔体积的结构 。 这种简单且具有潜在通用性的设计策略目前正在新相和复合材料的合成以及气体储存应用中被采用 。
图1a中显示的四核超四面体簇基序被许多金属羧酸盐(乙酸盐、苯甲酸盐和新戊酸盐)采用 , 其中Zn2+和适当的羧酸的组合产生以氧化物为中心的簇作为独特且明确定义的单元 。致力于基于该簇的扩展网络 , 我们将其Zn-O-C基序视为能够在类似反应条件下组装的二级构建单元 , 但存在二羧酸盐而不是单羧酸盐 。我们早期的工作18涉及14-苯二甲酸酯(BDC)与金属离子的共聚 , 指出其刚性、平面和发散属性 , 当与该二级构建单元的刚性相结合时 , 将非常适合形成目标 扩展的三维框架如图1b所示 。
图1:MOF-5框架的构建 。
顶部 , Zn4(O)O12C6簇 。左图 , 球棒模型(Zn , 蓝色;O , 绿色;C , 灰色) 。中间 , 与绿色表示的Zn4(O)四面体相同 。对 , 相同 , 但现在使用蓝色表示的ZnO4四面体 。底部 , Zn4(O)(BDC)3 , MOF-5 , 框架中的空腔之一 。八个簇(只有七个可见)构成一个晶胞并包围一个大腔 , 由直径为18.5??的黄色球体表示 , 与72?C原子(灰色)接触 。
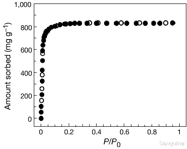
我们发现三乙胺扩散到硝酸锌(II)和H2BDC在NN'-二甲基甲酰胺(DMF)/氯苯中的溶液中会导致H2BDC去质子化并与Zn2+离子反应 。 向反应混合物中加入少量过氧化氢 , 以促进预期在二级构建单元中心形成O2- 。 对所得无色立方晶体进行元素微量分析 , 表明其分子式为Zn4O(BDC)3·(DMF)8(C6H5Cl);这里我们称这种材料为MOF-5 , 其中MOF表示金属有机骨架 。 DMF和氯苯客体的存在通过固态13C NMR证实 , 其在这些客体的碳原子共振预期的化学位移处显示出尖锐的特征峰 。 当材料从22°C加热到350°C时 , 对释放的客体蒸气进行离子质谱分析 , 显示它们各自的母离子质量 。
对合成材料的X射线单晶衍射研究揭示了预期的拓扑结构(图2) 。 该结构可以从一个简单的立方六连网分两个阶段派生出来:首先 , 网络的节点(顶点)被二级建筑单元的簇取代;其次 , 网络的链接(边缘)被BDC分子的有限杆(“支柱”)取代 。 簇的核心由与四个Zn原子键合的单个O原子组成 , 形成规则的Zn4O四面体 。 然后每个Zn四面体的每个边缘都被一个–CO2基团覆盖以形成一个Zn4(O)(CO2)6簇 。 我们注意到存在相关的磷酸锌结构17 , 其中C原子被PO4四面体的P原子取代 , 用于将簇连接在一起 。 目前工作中采取的重要步骤是用O2-C-C6H4-C-O2(BDC)“支柱”代替O2-P-O2磷酸盐链接 , 以提供具有三维交叉通道系统的扩展网络相邻簇中心之间的间距为12.94 ? 。
图2:表示沿a轴(C , 灰色;O , 绿色)显示的MOF-5框架的{100层 。
ZnO4四面体用紫色表示 。 MOF-5的特性如下 。 合成的Zn4O(BDC)3·(DMF)8(C6H5Cl) , MOF-5的单晶为213 ± 2?K立方 , 空间群Fm-3m , a = 25.6690(3)?? , V = 16913.2(3)?? , Z = 8. MOF-5的分析 。 (1)元素微量分析 。 计算(%);C , 44.21;H , 5.02;N , 7.64;锌 , 17.82% 。 发现(%): C 43.25; H , 5.29;N , 7.56;锌 , 17.04% 。 (2)固态13C NMR 。 首先 , CP MAS 。 客(CH3)2NC(O)H:(CH3)2- δ (p.p.m.) 37.81和32.71;-C(O)- , δ 164.93 。 C6H5Cl:δ 132.04、130.41、128.76 。 框架 , -COO , δ 175.93;-C(COO) , δ 139.11;o-C6H4 , δ 130.41 。 二、静态 。 客(CH3)2NC(O)H:(CH3)2- , δ 37.63和32.59;-C(O)- , δ 164.67 。 C6H5Cl:δ 130.22(广义) 。 框架 , 未观察到峰 。 (3)质谱 , 22–350?°C 。 (CH3)2NC(O)H:M+ , 73?a.m.u. (C3H7NO+) 。 C6H5Cl:M+ , 77 (C6H+5);M+ 112?a.m.u. (C6H535Cl+)和114?a.m.u. (C6H537C+) , 强度比为3:1 。 完全去溶剂化MOF-5的单晶性质 , Zn4O(BDC)3 , 为169 ± 2?K立方 , 空间群Fm-3m , a = 25.8849(3)?? , V = 17343.6(8)??3 , Z = 8(对于经验公式 , C24H12O13Zn4) , R、Rw = 0.023、0.026 。 Zn4O(BDC)3的分析 。 元素微量分析 。 计算(%):C , 37.45;H , 1.57;N , 0.00% 。 发现(%): C 36.94; H , 1.66;N , 0.26% 。 固态13C NMR(CP MAS和静态)显示没有任何客体引起的共振 。 质谱(22–350?°C)显示没有峰 , 表明孔中没有任何客体 。 热重分析表明在410?°C下没有重量损失 。 Zn4O(BDC)3单晶 , 完全脱溶剂并在300?°C下加热 , 体积为149 ± 2?K立方 , 空间群Fm-3m , a = 25.8496(3)?? 。
推荐阅读
- 假如存在二维生物,他们如何辨别所处的面是平面还是曲面
- 又靓又能做科研,这位博士小姐姐,发完Science发Nature!
- 我国将造新一代“观天神器”爱因斯坦探针,超强视力可让黑洞现形
- 假面骑士Revice第21话,火山龙vs蜘蛛骑,腰带被夺取,章鱼哥变身
- 38亿光年外发现罕见「五重奏」,空间强烈扭曲,爱因斯坦又对了?
- 想吃健康的“垃圾食品”?科学家:可以用X射线照一下
- 早年:不明飞行物曾冲向国际空间站
- 打碎癌细胞的DNA,日立粒子线系统治疗癌症就这么精准
- Nature:衰老的根源在核糖体?衰老加剧核糖体暂停,破坏蛋白质稳态
- Nature:新冠实际死亡人数或已超千万
