拉格朗 拉格朗日方程与哈密顿原理,终极的自然原则,宇宙的主要动力( 四 )
文章插图
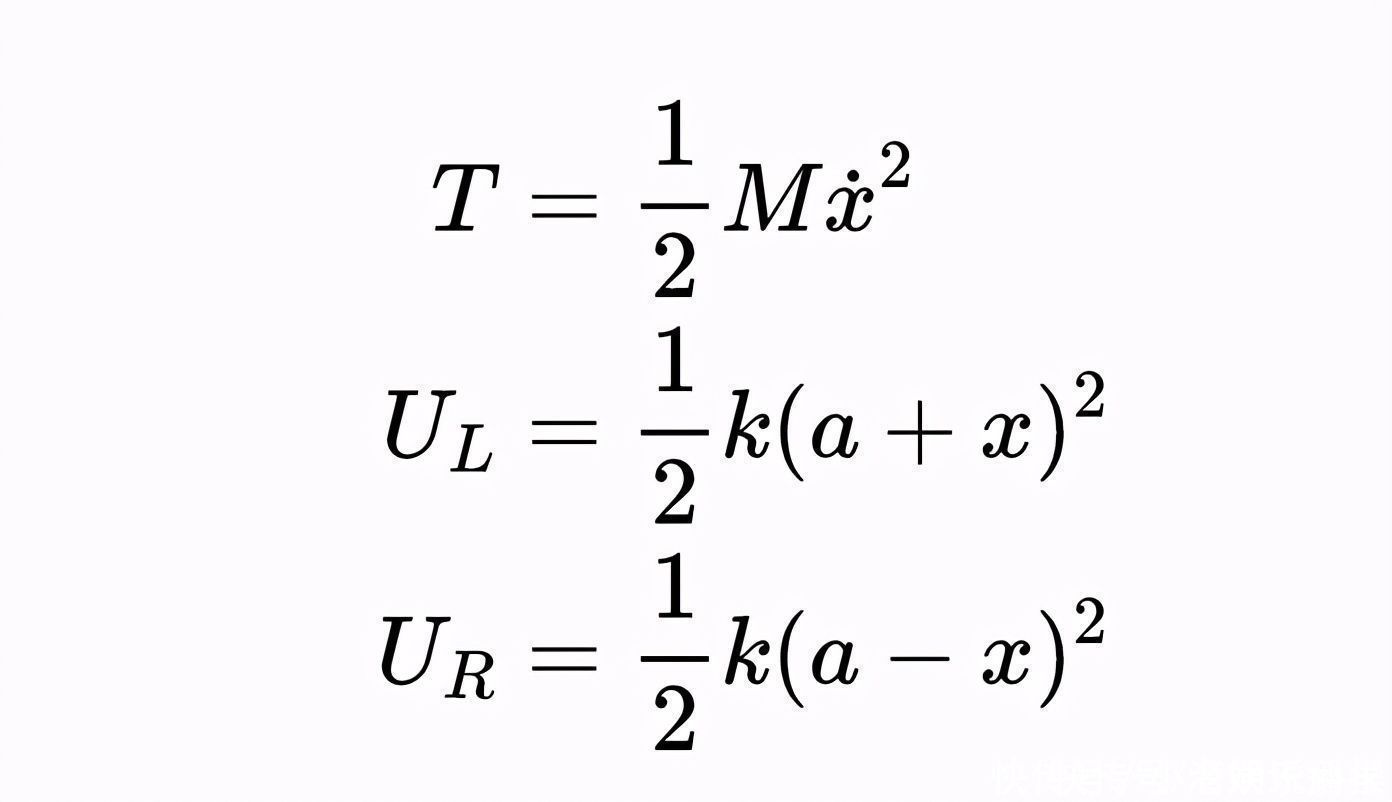
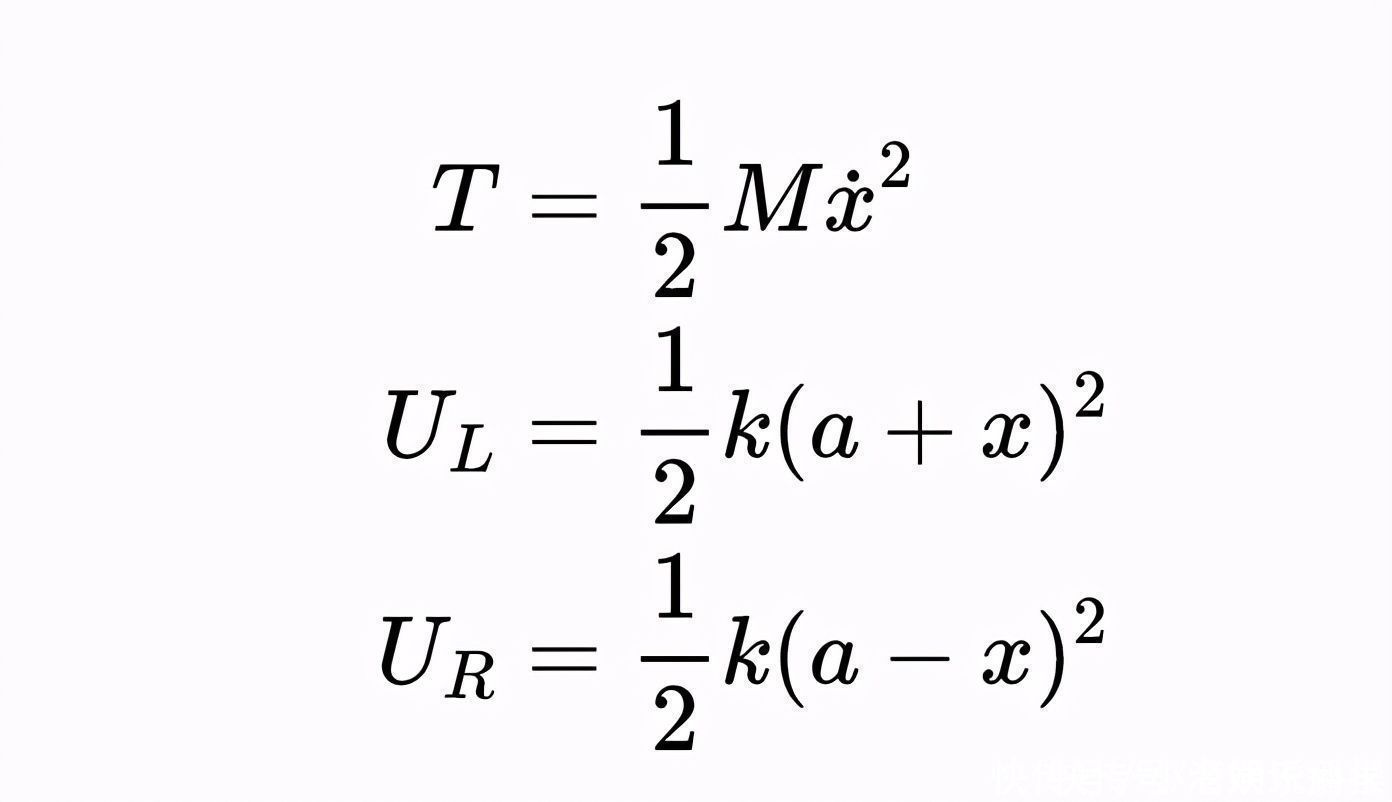
- 将物体视为质点。

文章插图
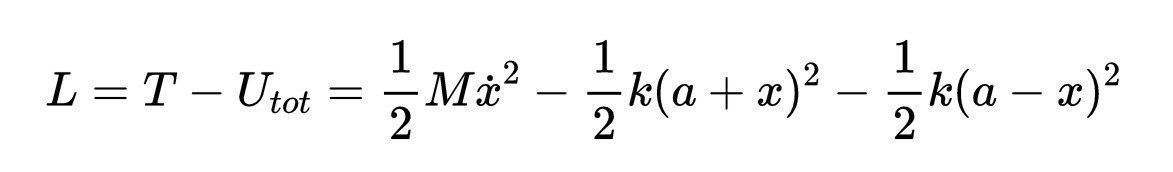
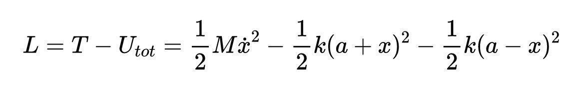
所以拉格朗日量是:

文章插图
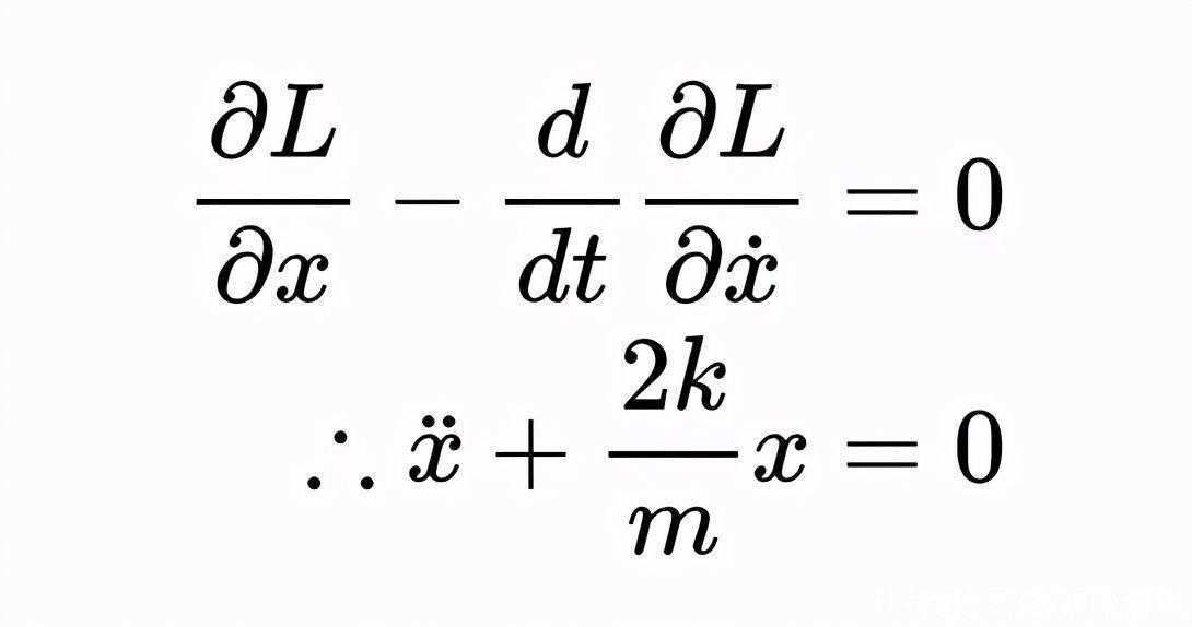
现在我们把它代入x的欧拉-拉格朗日方程:

文章插图
弹簧上的两个质点
我们现在终于准备好解决开头一段提出的问题了。

文章插图
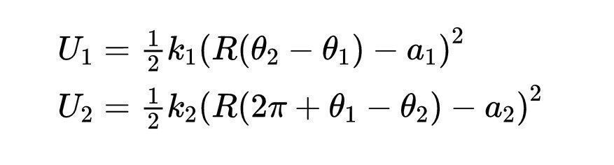
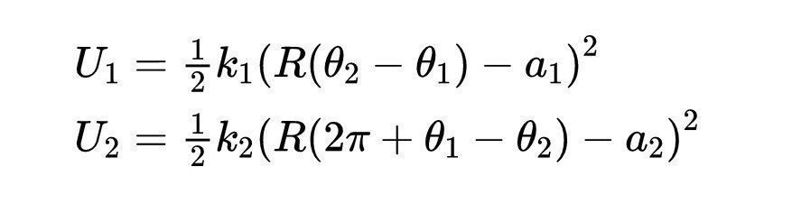
让U?和U?分别成为小弧A和大弧B上的弹性势能。A和B的弧长分别为(θ?-θ?)R和(2π+θ?-θ?)R。所以两个弹簧的势能是:

文章插图
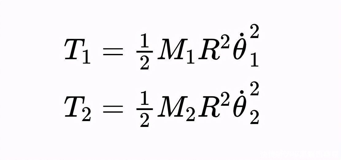
质量为m,角速度为ω的质点在原点固定距离R处旋转时,其动能为?mR2ω2,因此动能为:

文章插图
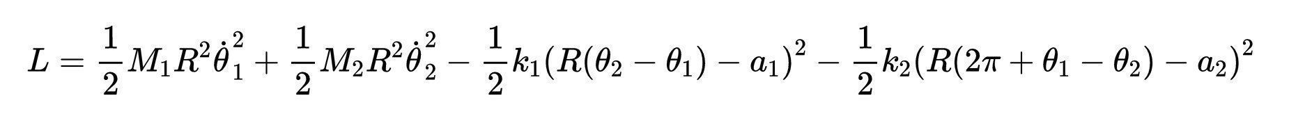
由于L=T-U,拉格朗日量为:

文章插图
为了找到运动方程,我们只需要把它代入θ?和θ?的欧拉-拉格朗日方程:

文章插图
所以运动方程是:
用拉格朗日法得到这些方程要比用牛顿定律容易得多。
结论:这一切意味着什么?我们到底做了什么,为什么要这么麻烦?
重要的是要知道我们并没有引入任何新的物理理论。所有关于力、能量等的基本物理学和规则都保持不变。我们改变的是我们的观点。我们采用了这些规则,并以不同的方式看待它们,因此我们对这些规则有了新的理解,以及我们可以利用这些规则做什么。
至于我们为什么要这么麻烦,最直接的答案是我们想要一个比牛顿定律更简单的方法来分析某些物理系统。但这不是唯一的原因。牛顿定律原则上可以解决经典力学中的任何问题,但对于分析经典场来说,它是极其笨拙的,而在量子物理中则是毫无意义的。另一方面,拉格朗日方程,以及更普遍的哈密顿原理,可以适用于量子物理。我们将在下一篇文章中看到如何做到这一点。
想了解更多精彩内容,快来关注老胡说科学
推荐阅读
- 结婚纪念日当天怎么过 结婚纪念日怎么算
- 为什么日漫的结局大多让人累觉不爱
- 柠檬日是什么意思
- 如何评价正在播放的由庵野秀明主导的日本动画人博览会
- 苹果Safari涉嫌侵犯专利遭起诉
- 糖尿病日是哪天
- 诺贝尔瓷砖价格表图片 诺贝尔瓷砖怎么样
- 夏侯渊之死 夏侯??怎么死的
- 惠达卫浴54—A51E 惠达卫浴怎么样
- 艾瑞泽7混动版怎么样 艾瑞泽7怎么样
