牛顿 如果引力不是一种力,那么它如何使物体加速的?
问:爱因斯坦说过,地心引力这种东西并不存在。质量与质量之间不会远距离相吸。这其实是时空的扭曲。只有将力作用于物体,物体才会加速,否则,它们就应保持常速。我在网上找到的一些解释认为引力始终一致,在其想象试验中,一个站在地球上的人与一个坐在火箭里“被加速”遨游太空的人感受到同样大小的引力。我能理解为什么这些状况下引力是相同的,但如何解释一块砖从一幢建筑物上掉落时,其加速度为9.8 m/s^2? 而且,上面那个想象试验中已存在一个力(即火箭的推进力)。
文章插图
答:这可能是关于一般相对论最普遍的一个问题。如果引力不是一种力,它如何使物体加速?
一般相对论认为,能量(以质量,光或其他任何形式)控制时空扭曲,时空的扭曲又控制这些能量的移动。“引力”的概念就成了物体沿着弯曲的时空下落。物体下落的路径被称为“测地线”。就让我们从观察物体引起的弯曲开始,然后再来讨论测地线的问题。
文章插图
图解:3条测地线构成的球面三角形。在球面上,测地线是大圆。
由物体引起的弯曲的度与物体能量有着直接的关系(最典型的是,物体最重要的能量是它的质量能量,但也会有例外。)在太阳系中,太阳的质量是时空扭曲的最重量级制造者,其影响大到可以完全忽略地球质量所造成的扭曲,几乎可以这么说,因为地球绕着太阳运行,因此其质量是可以被忽略的(我们称之为测试粒子极限)。同理,当你站在地球上时,是地球的质量而非你的质量支配你周围的时空扭曲,因而你也可以将自己视为一个无质量的测试粒子。然而,我们所知的事实是,你将自身周围的时空扭曲了仅仅一点点,而这一点点作用却对地球产生了相应的影响。
文章插图
现在,让我们回到测地线的问题上来,一个处于测地线运动中的物体感受不到其他的力,它顺着一个类似时空下坡的方向运动(时空扭曲正是这样影响物体运动的)。有点出乎意料的是,物体运动时顺着哪一条特定的测地线则取决于它的运动速度,而不是它的质量,(除非它的质量为零,这样它的速度就是光速),没有其他力作用于该物体,因此我们认为该物体是自由落体,引力不再起作用。(从技术上来说,如果一个物体比一个点大,那么它就会受到潮汐力的影响,该力是由于物体两端的引力差造成的,不过我们对这种力忽略不计)。
文章插图
现在我们来更深入的考虑一下测地线的问题。它们长什么样?我们站在地面把一个球抛向空中,它会在空中以抛物线的轨迹飞起并落回到地面上,物体正是沿着这样一条测地线运动的,下个合适的定义,即考虑到空间的扭曲,这条路径好像是一条直线穿过一个四维空间。但这和我们所说的引力加速度有什么关联?
让我们根据自己在地球上的位置选择一个坐标系,我们假设自己在原点,定义将球抛向空中的时间t 为0(只是给这个定位点一个名称,并无它意)。可以用一个合适的参数在坐标系中定义这个球在空间中的位置,我们称之为仿射参数。当球在空间中移动,这个参数的特定功能可以将它在空间中的位置表现出来,稍微改一下说法,就是将球在空间与时间中的位置联系起来。当我们观察这条运动轨迹时,发现物体似乎是在朝着地心方向加速运动,因而萌生了一个想法,即这是引力作用的结果。
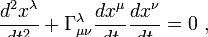
然而真实的情况却是,在我们的坐标系内,物体的运动过程以测地线方程的形式呈现,如用数学表示,则该方程如下图:
文章插图
(图片来源:WJ百科)
方程中,x(带有上标希腊指数的)所指的是球在坐标系内的位置,这些指数表明我们是否在讨论x,y,z 或者时间坐标,被求导的参数t是仿射参数,在这个例子中,它可以被称为“恰当的时间”(当物体运动较慢时,我们可以将t看作坐标系内的时间坐标)。方程的第一项是物体在坐标系内加速的情况,第二项表示引力的作用,那个看上去有点像吊人游戏的玩意儿叫做连接符号,它能将因时空扭曲产生的所有结果编码(还包括我们选择坐标系的信息)。实际上方程总共有16项,是用爱因斯坦求和约定写成的,它表明时空扭曲的影响造成了物体的加速,这不仅仅基于物体穿过空间的速度,还有其穿越时间的速度。
推荐阅读
- 引力 太阳系边缘真的存在第九大行星,而且它是一颗胡柚般大的黑洞吗
- 地球 如果太阳燃烧完了,人类该如何生存?《方舟生存进化》为你解答
- 地球 如果地球70陆地,30海洋,这个世界会怎样
- 理财 如果没有固定工作,有什么方法可以养活自己?教你这三招,很受益
- 牛顿 打开手电筒1秒后立即关闭,发出的光能照射到宇宙边缘吗
- 战争 如果在战争中,一颗北斗卫星被摧毁,会导致整个北斗系统瘫痪吗
- 探测器 火星疑似发现“废墟”未来宇航员登陆火星,如果无法返回怎么办
- 引力 想下!如果地球撞上了另一个星球,那会如何?
- 不明物 嘉兴不明物坠落现场辐射监测正常,可以排除陨石可能吗?天上掉下的如果是宝贝,该归谁?
- 电子 可观测宇宙内一共有多少原子如果把原子核聚集到一起能有多大
