参照系 一光年就是光飞行一年的距离,但光飞行一光年的距离并不需要一年
光年,并不是时间,而是距离,指的是光飞行一年的距离,大约9.46万亿公里。一光年的距离对于生活在地球上的人类来讲遥不可及,但由于宇宙实在太浩瀚了,用公里这种单位描述宇宙实在不方便,所以只能用更大的单位光年,实际上即使是光年,在浩瀚宇宙面前也显得很渺小。
文章插图
光年的概念,其实一点也不难,很好理解。不过我还是需要较真一下,因为只有较真了,才能明白光的背后藏着很多奥秘:一光年指的是光飞行一年的距离,但一光年的距离真的需要光飞行一年时间吗?这种问题看起来有点绕嘴,也有点抬杠的味道,但其实并不是这样的。光年确实是光飞行一年的距离,这没有错,但一光年的距离真的不需要光飞行一年。
文章插图
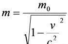
该如何理解?首先,我们需要明白一点:光飞行一年的距离是一光年,这里的“一年”时间对于我们人类来讲,而不是“光的一年”!明白这点很重要。爱因斯坦的狭义相对论告诉我们,物体随着速度的增加,时间流逝的速度会变慢,这被称为“时间膨胀效应”。任何具有静质量的物体都无法达到光速,只有无限接近。如果物体的速度达到光速了,意味着物体其实已经变成光子了,不再是“物体本身”了。拥有静质量的物体为何不能达到光速,看看狭义相对论中的质增公式就知道了:
文章插图
公式中的m是质量,m0是静质量,V运动速度,c为光速。从公式可以看出,当V无限接近光速时,物体质量会接近无限接近无穷大,这意味着需要无穷多的能量才能推动维持物体的速度,显然这是不可能发生的,尤其是对于有限的宇宙来讲更加不可能。狭义相对论是基于两个假设得出的公式,其中一个重要假设就是光速不变原理,光速在任何参照系下都是光速。我们都知道,当我们说到“速度”时,必须有一个参照系,否则速度就没有了意义。但是,光速就是如此特殊,它不需要参照系(或者在任何参照系下都是光速),光速其实是时空的内在固有秉性,严格来讲光速并不是指光的速度,而是麦克斯韦方程组导出来的一个常数,是四维时空的固有属性,只与真空的磁导率和介电常数有关。一不小心说得太多了,回到正题。明白了光速的这种特性,我们就知道对于光来讲为什么没有时间的概念了。说白了,无论光飞行多远的距离,对于光自身来讲都是瞬间到达的,即便是穿越直径为930亿光年的可观测宇宙,也是一瞬间就可以完成。但在我们人类眼里,并不是这样的,一光年的距离光仍旧需要飞行一年。这既是狭义相对论中参照系选择不同而造成的不同结果。这样说不太好理解,下面就用亚光速来举例子,就很好理解了!如果你乘坐一艘亚光速飞船离开地球,你经历的一年与地球上的我的一年并不是一个概念,本证时间(各自的时间)是一样的,也就是说你体验到的一年与我体验到的一年长度是一样的,这并不矛盾,因为参照系的选择不同造成的结果,也体现了时间的相对性和同时的相对性。也就是说,对于两个不同的参照系来说,对同一个事件的时间观察结果是不一样的。举个例子。比邻星距离地球大约4.3光年,如果你乘坐亚光速飞船(假设非常接近光速)飞往比邻星,地球上的我来看,你需要大约4.3光年多一点的时间到达比邻星,但对于飞船上的你来讲,远远不用4.3光年。
文章插图
当你亚光速飞行时,时空变化就非常明显,尺缩效应也体现得非常明显,地球与比邻星(阿尔法星)之间的距离就不再是4.3光年,会比4.3光年短,距离短多少取决于你到底有多接近光速。理论上分析,比邻星完全有可能就在你眼前,你瞬间就可以到达比邻星,当然前提是你必须无限接近光速飞行。
文章插图
当然,也可以用速度越快所用时间就越短来诠释,时间膨胀效应与尺缩效应是对等的,因为时间和空间本来就是有机的整体,不可分割。这里牵扯到一个问题,类似于“双生子佯谬”。
文章插图
地球上的我眼里来看,你飞到比邻星需要4.3年,而你感觉自己远远不用4.3光年,我会看到你的时钟变慢了,并且你的一切动作都变慢了,就像电影里的慢动作播放一样。当然,由于速度是相对的,你看到我的效果也是一样,你会看到我的时钟也变慢了,我的一切动作也都变慢了。那么,到底谁的时间变慢了?两者看起来有些矛盾。其实一点也不矛盾。因为你和我处于两个不同的参照系,我们两人观察到的结果都只能代表各自的参照系,无论什么结果都不会发生矛盾,我们两人观察到的结果都是对的。那么,为何说亚光速飞行的你会变得更年轻呢?所谓的“年轻”也是相对的,也就是说,你和我必须重新回到同一个参照系,才有资格比较谁更年轻。如果我们两人一直处于两个不同的参照系(永远不返回地球),讨论“谁更年轻”就没有意义了。所以,你必须重新回到地球,然后再去比较到底谁更年轻。如果你想返回地球,一定会经历减速和假设的过程,这个过程其实才是真正的改变了时间,减速和加速过程让你的时间变慢了。我地球上的我并没有经历减速和加速过程。有一个公式可以计算出你的时间相对我的时间到底变慢了多少,这个公式就是:
推荐阅读
- 发射 金星上有生命吗?NASA一口气发射2个探测器,谜题即将揭晓
- 心脏 坚守航天生产一线!80后航天高级技师被称火箭心脏钻刻师
- 理论 黑洞是什么,它又是怎样形成的,一起来认识下吧
- 主导 印专家:美俄中主导太空规则,印度想占据一席之地,要与中俄合作
- 奇葩说 2021第一位宝藏男神,非他莫属
- 向往的生活5 李诞拥抱张艺兴,后者一脸地抗拒,但张艺兴和杨紫却可以亲密互动
- 贝尔 陈赫李诞凭一己之力,将芒果王综拉下水,调侃收视不好建议贝尔来
- 古镇 四川一“避暑古镇”火了,距成都仅22公里,游客:来得值
- 地球 设计寿命20天的东方红一号卫星,已飞了50年,何时回收?
- 诚实 中国首位女宇航员,为何返回后就没露面?原来一直在背后作奉献
