黑洞周围粒子动力学研究获进展
黑洞是广义相对论的重要预言之一,已通过探测黑洞双星并合产生的引力波和事件视界望远镜成像观测证实。目前,欧洲南方天文台甚大望远镜引力干涉仪已实现对S2恒星几十微角秒的高精度天体位置的测量,未来有希望发现并跟踪距离银心黑洞更近且位于其强引力场中的天体。这一观测上的重要进展有望揭示黑洞及其时空上的一些独有特性,准确解读有关测量将对黑洞强引力场中的天体运动理论提出全新要求。因此,研究黑洞周围粒子束缚轨道运动对认识黑洞物理、高精度天体测量以及相关物理过程具有重要意义。
对于绕超大质量黑洞运转的恒星,由于恒星的质量小于超大质量黑洞,因此,该恒星可被视为一个绕该黑洞做束缚轨道运动的类时试验粒子。未来有望发现的比S2恒星更靠近银心大质量黑洞人马A*的天体,因位于该黑洞的强引力场中,其测地轨道运动将不再是类开普勒运动,而表现为其独有的周期轨道或近周期轨道形态。与弱引力场不同,强场下的周期轨道表现为多叶、回旋等形态(图1),并可通过一个有理数q来表达。这种周期轨道有助于学界理解极端质量比黑洞双星并合过程中的绝热内旋阶段。
黑洞最与众不同的一个特点是拥有视界和中心奇点。目前,广义相对论已通过了多种检验,其中包括引力波探测及事件视界望远镜观测,但广义相对论仍不完整。例如,它在黑洞中心奇点处会失效、与量子力学不相容、无法统一到粒子物理学标准模型之下。解决这些问题的有效途径是寻求大统一理论。在一些学者提出的大统一理论中,高维爱因斯坦-洛夫洛克理论被认为是具竞争力的候选者之一。在可观测宇宙的低能极限下,其退化到四维爱因斯坦-洛夫洛克理论。借助于黑洞周围粒子束缚轨道动力学研究,对探索该理论的强场检验是一种新机遇。
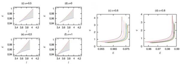
针对四维爱因斯坦-洛夫洛克黑洞,通过探讨其周围粒子的束缚轨道运动空间和周期轨道运动形态,结果表明,和史瓦西黑洞相比,四维爱因斯坦-洛夫洛克黑洞周围粒子的周期轨道运动有较低或较高的能量,主要取决于该理论中的耦合参数值(图2)。上述研究将为描述强引力场中天体运动提供一定的理论基础,厘清其轨道运动特征的物理根源,有望服务于未来对银心区恒星高精度天体测量结果的科学分析。此外,黑洞周围粒子动力学研究也将有助于解决时空奇点和量子引力等科学难题。
相关研究成果发表在《黑暗宇宙物理学》(Physics of the Dark Universe)上,中国科学院紫金山天文台硕士一年级研究生林厚羽为论文第一作者,紫金山天文台历算与天文参考系团组副研究员邓雪梅为论文通讯作者。研究工作获得国家自然科学基金、中科院战略性先导科技专项等的支持。

文章插图
图1.在赤道平面下黑洞周围类时粒子周期轨道运动(H.-Y. Lin,X.-M. Deng,2021)
【黑洞周围粒子动力学研究获进展】
文章插图
图2.左图:阴影部分为束缚轨道(l,E)允许区域(a=0为史瓦西黑洞);右图:描述周期轨道的有理数q随能量变化(蓝色为史瓦西黑洞)(H.-Y. Lin,X.-M. Deng,2021)
来源:中国科学院紫金山天文台
来源:中科院之声
推荐阅读
- 理论 黑洞是什么,它又是怎样形成的,一起来认识下吧
- 引力 太阳系边缘真的存在第九大行星,而且它是一颗胡柚般大的黑洞吗
- 黑洞 白矮星、中子星、黑洞,并非恒星最终结局它们还将各自演变!
- 科学家们 太阳能照亮地球,为啥无法照亮周围的宇宙?
- 最新消息 福岛核电站存有放射性物质集装箱发生泄漏 周围积水铯含量为标准值76倍
- 粒子 死亡可能只是一种幻觉:我们一直生活在平行宇宙中
- wikipedi重测人类发现的首个黑洞,质量比之前的观测值更大了
- 速度 太阳系公转速度被推翻,正以更快速度冲入银心,多久会坠入黑洞?
- pev 你可曾目睹浩瀚星辰绽放烟花?银河系将迎来高能粒子流疾风骤雨
- 黑洞 黑洞第二张照片近似完美,比首张照片清晰5倍,来自外太空卫星
