人造最高温度已达10万亿度,但为何达不到-27315度的绝对零度

文章插图
?地球表面存在大量的液态水,因为有着合适的温度,其主要热源来自于1.5亿公里外的太阳。之所以太阳在那么远的地方还能加热地球,是因为太阳本身非常热。太阳的表面平均温度为5500摄氏度,而作为热量来源的核心区域,那里的温度更是达到了1600万度。
不过,太阳中心的温度不算什么,人类可以制造出比这高得多的温度。氘(带一个中子的氢)和氚(带两个中子的氢)原子核互相碰撞,可以发生核聚变,形成氦和中子,由此能够产生高达2亿度的温度,这就是目前还在研发之中的可控核聚变。
文章插图
2亿度的温度已经非常高了,但人造温度还能更高。在粒子加速器中,粒子被加速到亚光速,它们获得了巨大的动能,一旦它们之间发生高速碰撞,就会产生极高的温度。
目前,人造最高温度的纪录是由大型强子对撞机创下的,氢原子核和铅原子核的高速碰撞制造出了10万亿度的超高温。在这种高能碰撞中,质子和中子裂解开来,产生了十分特殊的夸克汤,每立方厘米重达400亿吨。
文章插图
已知熔点最高的材料不到5000度,人造温度能够达到上亿度,之所以容器能够承受住这种高温,是因为高温物体并没有直接与容器接触,而是被磁场或者激光约束在空中。另外,高温不一定意味着高热量。
虽然人造温度可以达到令人瞠目结舌的10万亿度,但人造的最低温度却连零下273.15度都达不到,这是为什么呢?
【人造最高温度已达10万亿度,但为何达不到-27315度的绝对零度】
文章插图
事实上,这个问题涉及到温度的本质。之所以我们能够感觉到物体有温度,是因为构成物体的微观粒子在做热运动。微观粒子的平均动能越高,表现在宏观物体上的温度也就会越高。
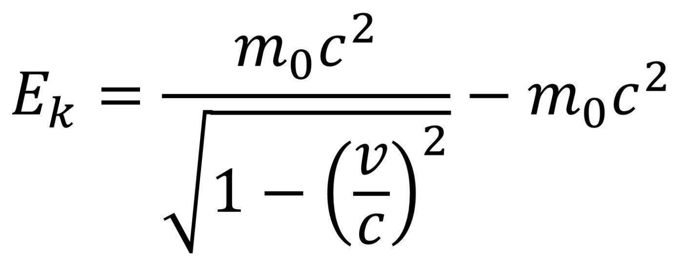
根据狭义相对论的动能公式:
文章插图
即便粒子的质量非常小,但只要不为0,当它们的速度接近光速时,上式分母会接近于0,所以动能可以变得非常大,这样温度就能达到极高的程度。
反过来,粒子的动能越小,物体的温度也就越低。显然,动能的下限为0,也就是粒子的速度降为0,热运动完全停止下来。此时,物体的温度将会达到最小值。在热力学中,最低温度被定义为0开氏度,即绝对零度。
文章插图
然而,绝对零度只是理论上的最低温度,现实中绝无可能达到,因为这受到了量子力学和相对论的限制。量子力学不允许速度为0的粒子,否则就能同时测出粒子的速度和位置,从而违背不确定性原理。另外,相对论否认绝对静止参照系的存在,所以粒子必然有某种运动,静止只是相对的。
绝对零度被定义为0开氏度,这是多少摄氏度呢?
文章插图
虽然绝对零度无法直接测出来,但根据查理定律——理想气体的压强与温度之比是一个恒定常数(P/T=C),可以结合实验数据推导出绝对零度为-273.15 ℃。
通过绝热退磁方法,科学家把一块金属铑降温至-273.1499999999 ℃,比绝对零度高了100亿分之一度,这是目前最低的人造温度。无论科学家在实验室中怎么尝试,都没有办法让物体冷却到绝对零度。
推荐阅读
- 太空争霸 他被困太空311天,意外创造了世界纪录,回归时身体已达到极限
- 人造太阳 中国“人造太阳”燃烧101秒!98958次放电 迈向人类终极“聚变能源梦”
- 温度 温度达1.6亿度!中国人造太阳再次打破纪录,何种材料才得以承受
- 核聚变反应 中国核聚变迎来新突破,原料不再是问题,离人造太阳又近了一步
- 原子核 我国再创世界纪录,1.2亿摄氏度为什么烧不坏“人造太阳”
- 贡献 中国“人造太阳”再次打破世界记录!上海为聚变实验堆研发贡献智慧和力量
- 太阳内核 太阳内核温度高达1500万℃,如果达到宇宙的最高温度,会怎样
- 人造地球卫星 北大青年“数”说四史:“数”说“两弹一星”
- 古巴外交部 早读|1.2亿摄氏度“燃烧”101秒!中国“人造太阳”创造新世界纪录
- e1.2亿摄氏度101秒!中国“人造太阳”创纪录意味着什么?
