飞行 如果20岁的宇航员驾驶光速飞船飞行10年,他再回地球时是几岁

文章插图
目前,人类的宇宙技术最多只能让宇宙飞船的速度加速至109公里/秒,这是美国宇航局(NASA)的帕克号太阳探测器在今年年初飞到太阳的近日点时创下的。未来,当帕克号最靠近太阳时,它的速度将会达到192公里/秒。
不过,这种速度与每秒将近30万公里的光速相比差得很远。因此,有关光速运动下的种种现象,大部分情况下只能依赖于思想实验,这篇文章的提问也是如此。如果20岁的宇航员驾驶光速飞船在宇宙中飞行10年,那么,当他飞回地球时,他会是多少岁呢?
文章插图
这个问题的答案并非是简单的30岁,因为涉及到光速运动,必然就要考虑相对论效应,此时我们的常识将会被颠覆。
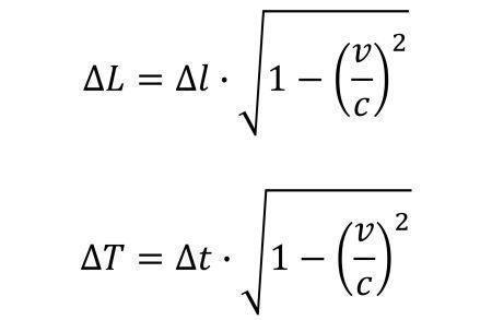
根据相对论,为了让光速相对于所有参照系保持相同,不同参照系的时间和空间就会变得不同。与相对静止的参照系相比,运动的参照系在空间上会压缩,在时间上会膨胀,这就是尺缩钟慢效应,具体的公式如下:
文章插图
v为运动参照系的速度,c为真空光速,L、T为运动参照系中的观测者所测出的距离和时间,l、t为相对静止参照系中的观测者所测出的距离和时间。
根据上述公式,速度越快,空间压缩得越多,时间过得越慢。当速度趋近于光速时,空间会趋于无,时间会趋于静止。那么,这是否意味着如果速度等于光速,空间压缩到无,时间变为静止?
文章插图
答案是否定的。因为宇宙飞船的静质量不为零,这意味着其速度不能被加速到光速。也就是说,光速飞船是不存在的,只有低于光速的亚光速飞船。
假设20岁的宇航员乘坐宇宙飞船以光速的99.99%飞行10年,那么,他回到地球上时会是几岁?
文章插图
在讨论相对论时,有关时间和空间的参数一定要指明是属于哪个参照系的。如果飞行10年的时间指的是宇宙飞船上的时间,那么,宇航员回到地球上时,他的岁数就是30岁。但地球上的时间并不是过去10年,而是707年。因为对于地球参照系,亚光速飞船飞得非常快,时间过得很慢。
另一方面,如果飞行10年的时间是指地球上的时间,那么,宇航员回到地球上时,他认为时间才过了不到52天。对于宇航员来说,太空飞行的时间不到两个月,但他回到的是10年之后的地球。
文章插图
【 飞行|如果20岁的宇航员驾驶光速飞船飞行10年,他再回地球时是几岁】说到这里,有些人可能会有疑问了,运动是相对的,既然亚光速飞船相对于地球运动,也可以认为地球相对于亚光速飞船运动,那么,这是否意味着地球上的时间过得比飞船上慢呢?
其实不然。亚光速飞船在飞行过程中并非完全保持匀速,而上述的相对论公式只适用于惯性系,也就是非加速运动的参照系。亚光速飞船在离开地球和返回地球的过程中,需要进行加速和减速。这种加速运动并非相对,而是绝对,所以时间变慢的是亚光速飞船。
推荐阅读
- 太空飞行 鱿鱼宝宝和“水熊”将成为美国宇航局最新的微型宇航员
- 地球 如果太阳燃烧完了,人类该如何生存?《方舟生存进化》为你解答
- 盾牌座 比大犬座更大的恒星光在表面飞行需要9小时能容纳45亿个太阳
- 外汇市场 英国20岁富豪体验流浪汉生活惨遭打脸:穷人想逆天改命太难!
- 飞行嘉宾 黄渤为什么中途退出《哈哈哈哈哈》?原因很现实
- 龙飞船 SpaceX拿下三笔私人飞行订单,“龙飞船”或在2023年前飞往国际空间站
- 太空舱 倒计时!6年飞行60亿公里,携带至少100毫克珍贵矿石将着陆地球
- 地球 如果地球70陆地,30海洋,这个世界会怎样
- 综艺 肖战新综艺即将来袭?飞行《萌贼探案》已定,为其打造专属主题
- 20岁工科男想要学一门乐器,零基础,五线谱不会看,想自学小提琴,有希望吗
